Статистика и обработка данных в психологии
(продолжение)
Корреляционный анализ
При изучении корреляций стараются установить, существует ли какая-то связь между двумя показателями в одной выборке (например, между ростом и весом детей или между уровнем IQ и школьной успеваемостью) либо между двумя различными выборками (например, при сравнении пар близнецов), и если эта связь существует, то сопровождается ли увеличение одного показателя возрастанием (положительная корреляция) или уменьшением (отрицательная корреляция) другого.
Иными словами, корреляционный анализ помогает установить, можно ли предсказывать возможные значения одного показателя, зная величину другого.
До сих пор при анализе результатов нашего опыта по изучению действия марихуаны мы сознательно игнорировали такой показатель, как время реакции. Между тем было бы интересно проверить, существует ли связь между эффективностью реакций и их быстротой. Это позволило бы, например, утверждать, что чем человек медлительнее, тем точнее и эффективнее будут его действия и наоборот.
С этой целью можно использовать два разных способа: параметрический метод расчета коэффициента Браве-Пирсона (r) и вычисление коэффициента корреляции рангов Спирмена (rs), который применяется к порядковым данным, т.е. является непараметрическим. Однако разберемся сначала в том, что такое коэффициент корреляции.
Коэффициент корреляции
Коэффициент корреляции — это величина, которая может варьировать в пределах от +1 до -1. В случае полной положительной корреляции этот коэффициент равен плюс 1, а при полной отрицательной — минус 1. На графике этому соответствует прямая линия, проходящая через точки пересечения значений каждой пары данных:


В случае же если эти точки не выстраиваются по прямой линии, а образуют «облако», коэффициент корреляции по абсолютной величине становится меньше единицы и по мере округления этого облака приближается к нулю:

В случае если коэффициент корреляции равен 0, обе переменные полностью независимы друг от друга.
В гуманитарных науках корреляция считается сильной, если ее коэффициент выше 0,60; если же он превышает 0,90, то корреляция считается очень сильной. Однако для того, чтобы можно было делать выводы о связях между переменными, большое значение имеет объем выборки: чем выборка больше, тем достовернее величина полученного коэффициента корреляции. Существуют таблицы с критическими значениями коэффициента корреляции Браве-Пирсона и Спирмена для разного числа степеней свободы (оно равно числу пар за вычетом 2, т. е. n-2). Лишь в том случае, если коэффициенты корреляции больше этих критических значений, они могут считаться достоверными. Так, для того чтобы коэффициент корреляции 0,70 был достоверным, в анализ должно быть взято не меньше 8 пар данных (h=n-2=6) при вычислении r (см. табл. 4 в Приложении) и 7 пар данных (h=n-2=5) при вычислении rs (табл. 5 в Приложении).
Хотелось бы еще раз подчеркнуть, что сущность этих двух коэффициентов несколько различна. Отрицательный коэффициент r указывает на то, что эффективность чаще всего тем выше, чем время реакции меньше, тогда как при вычислении коэффициента rs требовалось проверить, всегда ли более быстрые испытуемые реагируют более точно, а более медленные — менее точно.
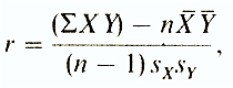
Коэффициент корреляции Браве-Пирсона (r) — этопараметрический показатель, для вычисления которого сравнивают средние и стандартные отклонения результатов двух измерений. При этом используют формулу (у разных авторов она может выглядеть по-разному)

где ΣXY — сумма произведений
данных из каждой пары;
n-число пар;
X — средняя для данных переменной X;
Y— средняя для данных
переменной Y
Sx — стандартное отклонение для
распределения х;
Sy — стандартное отклонение для распределения у
Коэффициент корреляции рангов Спирмена (rs) — это непараметрический показатель, с помощью которого пытаются выявить связь между рангами соответственных величин в двух рядах измерений.
Этот коэффициент рассчитывать проще, однако результаты получаются менее точными, чем при использовании r. Это связано с тем, что при вычислении коэффициента Спирмена используют порядок следования данных, а не их количественные характеристики и интервалы между классами.
Дело в том, что при использовании коэффициента корреляции рангов Спирмена (rs) проверяют только, будет ли ранжирование данных для какой-либо выборки таким же, как и в ряду других данных для этой выборки, попарно связанных с первыми (например, будут ли одинаково «ранжироваться» студенты при прохождении ими как психологии, так и математики, или даже при двух разных преподавателях психологии?). Если коэффициент близок к +1, то это означает, что оба ряда практически совпадают, а если этот коэффициент близок к -1, можно говорить о полной обратной зависимости.
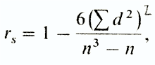
Коэффициент rs вычисляют по формуле

где d — разность между рангами сопряженных значений признаков (независимо от ее знака), а — число пар.
Обычно этот непараметрический тест используется в тех случаях, когда нужно сделать какие-то выводы не столько об интервалах между данными, сколько об их рангах, а также тогда, когда кривые распределения слишком асимметричны и не позволяют использовать такие параметрические критерии, как коэффициент r (в этих случаях бывает необходимо превратить количественные данные в порядковые).
Резюме
Итак, мы рассмотрели различные параметрические и непараметрические статистические методы, используемые в психологии. Наш обзор был весьма поверхностным, и главная задача его заключалась в том, чтобы читатель понял, что статистика не так страшна, как кажется, и требует в основном здравого смысла. Напоминаем, что данные «опыта», с которыми мы здесь имели дело, — вымышленные и не могут служить основанием для каких-либо выводов. Впрочем, подобный эксперимент стоило бы действительно провести. Поскольку для этого опыта была выбрана сугубо классическая методика, такой же статистический анализ можно было бы использовать во множестве различных экспериментов. В любом случае нам кажется, что мы наметили какие-то главные направления, которые могут оказаться полезны тем, кто не знает, с чего начать статистический анализ полученных результатов.
Литература
- Годфруа Ж. Что такое психология. — М., 1992.
- Chatillon G., 1977. Statistique en Sciences humaines, Trois-Rivieres, Ed. SMG.
- Gilbert N.. 1978. Statistiques, Montreal, Ed. HRW.
- Moroney M.J., 1970. Comprendre la statistique, Verviers, Gerard et Cie.
- Siegel S., 1956. Non-parametric Statistic, New York, MacGraw-Hill Book Co.
Приложение. Таблицы
Примечания. 1) Для больших выборок или уровня значимости меньше 0,05 следует обратиться к таблицам в пособиях по статистике.
2) Таблицы значений других непараметрических критериев можно найти в специальных руководствах (см. библиографию).
| Таблица 1. Значения критерия t Стьюдента | |
| h | 0,05 |
| 1 | 6,31 |
| 2 | 2,92 |
| 3 | 2,35 |
| 4 | 2,13 |
| 5 | 2,02 |
| 6 | 1,94 |
| 7 | 1,90 |
| 8 | 1,86 |
| 9 | 1,83 |
| 10 | 1,81 |
| 11 | 1,80 |
| 12 | 1,78 |
| 13 | 1,77 |
| 14 | 1,76 |
| 15 | 1,75 |
| 16 | 1,75 |
| 17 | 1,74 |
| 18 | 1,73 |
| 19 | 1,73 |
| 20 | 1,73 |
| 21 | 1,72 |
| 22 | 1,72 |
| 23 | 1,71 |
| 24 | 1,71 |
| 25 | 1,71 |
| 26 | 1,71 |
| 27 | 1,70 |
| 28 | 1,70 |
| 29 | 1,70 |
| 30 | 1,70 |
| 40 | 1,68 |
| ¥ | 1,65 |
| Таблица 2. Значения критерия χ2 | |
| h | 0,05 |
| 1 | 3,84 |
| 2 | 5,99 |
| 3 | 7,81 |
| 4 | 9,49 |
| 5 | 11,1 |
| 6 | 12,6 |
| 7 | 14,1 |
| 8 | 15,5 |
| 9 | 16,9 |
| 10 | 18,3 |
| Таблица 3. Достоверные значения Z | |
| р | Z |
| 0,05 | 1,64 |
| 0,01 | 2,33 |
| Таблица 4. Достоверные (критические) значения r | ||
| р=0,05 (5%) | ||
| 3 | 0,88 | |
| 4 | 0,81 | |
| 5 | 0,75 | |
| 6 | 0,71 | |
| 7 | 0,67 | |
| 8 | 0,63 | |
| 9 | 0,60 | |
| 10 | 0,58 | |
| 11 | 0.55 | |
| 12 | 0,53 | |
| 13 | 0,51 | |
| 14 | 0,50 | |
| 15 | 0,48 | |
| 16 | 0,47 | |
| 17 | 0,46 | |
| 18 | 0,44 | |
| 19 | 0,43 | |
| 20 | 0,42 | |
| Таблица 5. Достоверные (критические) значения rs | |
| h=(N-2) | р = 0,05 |
| 2 | 1,000 |
| 3 | 0,900 |
| 4 | 0,829 |
| 5 | 0,714 |
| 6 | 0,643 |
| 7 | 0,600 |
| 8 | 0,564 |
| 10 | 0,506 |
| 12 | 0,456 |
| 14 | 0,425 |
| 16 | 0,399 |
| 18 | 0,377 |
| 20 | 0,359 |
| 22 | 0,343 |
| 24 | 0,329 |
| 26 | 0,317 |
| 28 | 0,306 |

