Статистика и обработка данных в психологии
(продолжение)
Индуктивная статистика
Задачи индуктивной статистики заключаются в том, чтобы определять, насколько вероятно, что две выборки принадлежат к одной популяции.
Давайте наложим друг на друга, с одной стороны, две кривые — до и после воздействия — для контрольной группы и, с другой стороны, две аналогичные кривые для опытной группы. При этом масштаб кривых должен быть одинаковым.


Видно, что в контрольной группе разница между средними обоих распределений невелика, и поэтому можно думать, что обе выборки принадлежат к одной и той же популяции. Напротив, в опытной группе большая разность между средними позволяет предположить, что распределения для фона и воздействия относятся к двум различным популяциям, разница между которыми обусловлена тем, что на одну из них повлияла независимая переменная.
Проверка гипотез
Как уже говорилось, задача индуктивной статистики — определять, достаточно ли велика разность между средними двух распределений для того, чтобы можно было объяснить ее действием независимой переменной, а не случайностью, связанной с малым объемом выборки (как, по-видимому, обстоит дело в случае с опытной группой нашего эксперимента).
При этом возможны две гипотезы:
1) нулевая гипотеза (Н0), согласно которой разница между
распределениями недостоверна; предполагается, что различие недостаточно
значительно, и поэтому распределения относятся к одной и той же популяции, а
независимая переменная не оказывает никакого влияния;
2) альтернативная гипотеза (Hx), какой является рабочая
гипотеза нашего исследования. В соответствии с этой гипотезой различия между
обоими распределениями достаточно значимы и обусловлены влиянием независимой
переменной.
Основной принцип метода проверки гипотез состоит в том, что выдвигается
нулевая гипотеза Н0, с тем чтобы попытаться опровергнуть ее и тем самым
подтвердить альтернативную гипотезу H1. Действительно, если результаты
статистического теста, используемого для анализа разницы между средними,
окажутся таковы, что позволят отбросить Н0, это будет означать, что верна Н1
т.е. выдвинутая рабочая гипотеза подтверждается.
В гуманитарных науках принято считать, что нулевую гипотезу можно отвергнуть
в пользу альтернативной гипотезы, если по результатам статистического теста
вероятность случайного возникновения найденного различия не превышает 5
из 100. Если же этот уровень достоверности не достигается, считают, что
разница вполне может быть случайной и поэтому нельзя отбросить нулевую гипотезу.
Для того чтобы судить о том, какова вероятность ошибиться, принимая или
отвергая нулевую гипотезу, применяют статистические методы, соответствующие
особенностям выборки.
Так, для количественных данных при распределениях, близких к нормальным, используют параметрические методы, основанные на таких показателях, как средняя и стандартное отклонение. В частности, для определения достоверности разницы средних для двух выборок применяют метод Стьюдента, а для того чтобы судить о различиях между тремя или большим числом выборок, — тест F, или дисперсионный анализ.
Если же мы имеем дело с неколичественными данными или выборки слишком малы
для уверенности в том, что популяции, из которых они взяты, подчиняются
нормальному распределению, тогда используют непараметрические методы —
критерий χ2 (хи-квадрат) для качественных данных и
критерии знаков, рангов, Манна-Уитни, Вилкоксона и др. для порядковых данных.
Кроме того, выбор статистического метода зависит от того, являются ли те
выборки, средние которых сравниваются, независимыми (т. е., например,
взятыми из двух разных групп испытуемых) или зависимыми (т. е. отражающими результаты одной и той же группы испытуемых до и после
воздействия или после двух различных воздействий).
Уровни достоверности (значимости)
Тот или иной вывод с некоторой вероятностью может оказаться ошибочным, причем эта вероятность тем меньше, чем больше имеется данных для обоснования этого вывода. Таким образом, чем больше получено результатов, тем в большей степени по различиям между двумя выборками можно судить о том, что действительно имеет место в той популяции, из которой взяты эти выборки.
Однако обычно используемые выборки относительно невелики, и в этих случаях вероятность ошибки может быть значительной. В гуманитарных науках принято считать, что разница между двумя выборками отражает действительную разницу между соответствующими популяциями лишь в том случае, если вероятность ошибки для этого утверждения не превышает 5%, т.е. имеется лишь 5 шансов из 100 ошибиться, выдвигая такое утверждение. Это так называемый уровень достоверности (уровень надежности, доверительный уровень) различия. Если этот уровень не превышен, то можно считать вероятным, что выявленная нами разница действительно отражает положение дел в популяции (отсюда еще одно название этого критерия — порог вероятности).
Для каждого статистического метода этот уровень можно узнать из таблиц распределения критических значений соответствующих критериев (t, χ2 и т.д.); в этих таблицах приведены цифры для уровней 5% (0,05), 1% (0,01) или еще более высоких. Если значение критерия для данного числа степеней свободы (см. Приложение оказывается ниже критического уровня, соответствующего порогу вероятности 5%, то нулевая гипотеза не может считаться опровергнутой, и это означает, что выявленная разница недостоверна.
Параметрические методы
Метод Стьюдента (f-тест)
Это параметрический метод, используемый для проверки гипотез о достоверности
разницы средних при анализе количественных данных о популяциях с нормальным
распределением и с одинаковой вариансой. К сожалению, метод Стьюдента слишком часто используют для малых выборок, не
убедившись предварительно в том, что данные в соответствующих популяциях
подчиняются закону нормального распределения (например, результаты выполнения
слишком легкого задания, с которым справились все испытуемые, или же, наоборот,
слишком трудного задания не дают нормального распределения).
Метод Стьюдента различен для независимых и зависимых выборок. Независимые
выборки получаются при исследовании двух различных групп испытуемых (в нашем эксперименте это контрольная и опытная группы). В
случае независимых выборок для анализа разницы средних применяют формулу

где М1 — средняя первой выборки; М2 — средняя второй выборки; s1 — стандартное отклонение для первой выборки; s2 — стандартное отклонениедля второй выборки; nl и n2 — число элементов в первой и второй выборках.
Теперь осталось лишь найти в таблице значений t (см. Приложение) величину, соответствующую n-2 степеням свободы, где n — общее число испытуемых в обеих выборках, и сравнить эту величину с результатом расчета по формуле.
Если наш результат больше, чем значение для уровня достоверности 0,05
(вероятность 5%), найденное в таблице, то можно отбросить нулевую гипотезу (Н0)
и принять альтернативную гипотезу (Н1) т.е. считать разницу средних достоверной.
Если же, напротив, полученный при вычислении результат меньше, чем табличный
(для n-2 степеней свободы), то нулевую гипотезу нельзя отбросить и,
следовательно, разница средних недостоверна.
В нашем эксперименте с помощью метода Стьюдента для независимых выборок можно было бы, например, проверить, существует ли достоверная разница между фоновыми уровнями (значениями, полученными до воздействия независимой переменной) для двух групп. При этом мы получим:

Сверившись с таблицей значений t, мы можем прийти к следующим выводам: полученное нами значение t=0,53 меньше того, которое соответствует уровню достоверности 0,05 для 26 степеней свободы (h)= 28); следовательно, уровень вероятности для такого t будет выше 0,05 и нулевую гипотезу нельзя отбросить; таким образом, разница между двумя выборками недостоверна, т. е. они вполне могут принадлежать к одной популяции.
Сокращенно этот вывод записывается следующим образом:
t=0,53; h=28; р>0,05; недостоверно.
Как уже говорилось, поскольку объем выборок в данном случае невелик, а результаты опытной группы после воздействия не соответствуют нормальному распределению, лучше использовать непараметрический метод, например U-тест Манна-Уитни.
Однако наиболее полезным t-тест окажется для нас при проверке гипотезы о достоверности разницы средней между результатами опытной и контрольной групп после воздействия. Попробуйте сами найти для этих выборок значения и сделать соответствующие выводы.
Степени свободы
Для того чтобы свести к минимуму ошибки, в таблицах критических значений статистических критериев в общем количестве данных не учитывают те, которые можно вывести методом дедукции. Оставшиеся данные составляют так называемое число степеней свободы, т. е. то число данных из выборки, значения которых могут быть случайными.
Так, если сумма трех данных равна 8, то первые два из них могут принимать любые значения, но если они определены, то третье значение становится автоматически известным. Если, например, значение первого данного равно 3, а второго -1, то третье может быть равным только 4. Таким образом, в такой выборке имеются только две степени свободы. В общем случае для выборки в n данных существует п-1 степень свободы.
Если у нас имеются две независимые выборки, то число степеней свободы для
первой из них составляет n1-1, а для второй — n2-1.
А поскольку при
определении достоверности разницы между ними опираются на анализ каждой выборки,
число степеней свободы, по которому нужно будет находить критерий t в таблице,
будет составлять (n1+n2)-2.
Если же речь идет о двух зависимых выборках, то в основе расчета лежит
вычисление суммы разностей, полученных для каждой пары результатов (т.е.,
например, разностей между результатами до и после воздействия на одного и того
же испытуемого). Поскольку одну (любую) из этих разностей можно вычислить, зная
остальные разности и их сумму, число степеней свободы для определения критерия
t будет равно n-1.
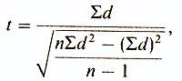
Метод Стьюдента для зависимых выборок
К зависимым выборкам относятся, например, результаты одной и той же группы испытуемых до и после воздействия независимой переменной. В нашем случае с помощью статистических методов для зависимых выборок можно проверить гипотезу о достоверности разницы между фоновым уровнем и уровнем после воздействия отдельно для опытной и для контрольной группы.
Для определения достоверности разницы средних в случае зависимых выборок применяется следующая формула:

где d — разность между результатами в каждой паре;
Sd — сумма этих частных разностей;
Sd2
— сумма квадратов частных
разностей. Полученные результаты сверяют с таблицей
t, отыскивая в ней значения,
соответствующие n-1 степени свободы; n — это в данном случае число пар
данных (см. Приложение.
Перед тем как использовать формулу, необходимо вычислить для каждой группы
частные разности между результатами во всех парах, квадрат каждой из этих
разностей, сумму этих разностей и сумму их квадратов.
Необходимо произвести следующие операции:
Контрольная группа. Сравнение результатов для фона и после воздействия
| Испытуемые | Фон | После воздействия | d | d2 |
| Д1 | 19 | 21 | +2 | 4 |
| 2 | 10 | 8 | -2 | 4 |
| 3 | 12 | 13 | +1 | 1 |
| 4 | 13 | 11 | -2 | 4 |
| 5 | 17 | 20 | +3 | 9 |
| 6 | 14 | 12 | -2 | 4 |
| 7 | 17 | 15 | -2 | 4 |
| Ю1 | 15 | 17 | +2 | 4 |
| 2 | 14 | 15 | +1 | 1 |
| 3 | 15 | 15 | - | - |
| 4 | 17 | 18 | +1 | 1 |
| 5 | 15 | 16 | +1 | 1 |
| 6 | 18 | 15 | -3 | 9 |
| 7 | 19 | 19 | - | - |
| 8 | 22 | 25 | +3 | 9 |
| Sd = +3; Sd2 = 55 | ||||

Величина t=0,39 ниже той, которая необходима для уровня значимости 0,05 при 14 степенях свободы. Иными словами, порог вероятности для такого t выше 0,05. Таким образом, нулевая гипотеза не может быть отвергнута, и разница между выборками недостоверна. В сокращенном виде это записывается следующим образом:
t=0,39; h=14; p>0,05; недостоверно.
Теперь попробуйте самостоятельно применить метод Стьюдента для зависимых выборок к обоим распределениям опытной группы с учетом того, что вычисление частных разностей для пар дало следующие результаты:
Sd = -59 и Sd2 = 349
Дисперсионный анализ (тест F Снедекора)
Метод Снедекора — это параметрический тест, используемый в тех случаях, когда имеются три или большее число выборок. Сущность этого метода заключается в том, чтобы определить, является ли разброс средних для различных выборок относительно общей средней для всей совокупности данных достоверно отличным от разброса данных относительно средней в пределах каждой выборки. Если все выборки принадлежат одной и той же популяции, то разброс между ними должен быть не больше, чем разброс данных внутри их самих.
В методе Снедекора в качестве показателя разброса используют вариансу (дисперсию). Поэтому анализ сводится к тому, чтобы сравнить вариансу распределений между выборками с вариансами в пределах каждой выборки, или:
t=.....; h=.....; p..... (<, =, > ?) 0,05; недостоверно

где
σ2между
— варианса средних каждой выборки относительно общей
средней;
σ2внутри
— варианса данных внутри каждой выборки. Если различие между
выборками недостоверно, то результат должен быть близок к I. Чем больше будет F
по сравнению с 1, тем более достоверно различие.
Таким образом, дисперсионный анализ показывает, принадлежат ли выборки к одной популяции, но с его помощью нельзя выделить те выборки, которые отличаются от других. Для того чтобы определить те пары выборок, разница между которыми достоверна, следует после дисперсионного анализа применить метод Шеффе. Поскольку, однако, этот весьма Ценный метод требует достаточно больших вычислений, а к нашему гипотетическому эксперименту он неприменим, мы рекомендуем читателю для ознакомления с ним обратиться к какому-либо специальному пособию по статистике.
Непараметрические методы
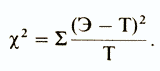
Метод χ2 («хи-квадрат»)
Для использования непараметрического метода χ2
не требуется вычислять среднюю или стандартное отклонение. Его преимущество
состоит в том, что для применения его необходимо знать лишь зависимость
распределения частот результатов от двух переменных; это позволяет выяснить,
связаны они друг с другом или, наоборот, независимы. Таким образом, этот
статистический метод используется для обработки качественных данных. Кроме того, с его помощью можно проверить, существует ли
достоверное различие между числом людей, справляющихся или нет с заданиями
какого-то интеллектуального теста, и числом этих же людей, получающих при
обучении высокие или низкие оценки; между числом больных, получивших новое
лекарство, и числом тех, кому это лекарство помогло; и, наконец, существует ли
достоверная связь между возрастом людей и их успехом или неудачей в выполнении
тестов на память и т. п. Во всех подобных случаях этот тест позволяет
определить число испытуемых, удовлетворяющих одному и тому же критерию для
каждой из переменных.
При обработке данных нашего гипотетического эксперимента с помощью метода
Стьюдента мы убедились в том, что употребление марихуаны испытуемыми из опытной
группы снизило у них эффективность выполнения задания по сравнению с контрольной
группой. Однако к такому же выводу можно было бы прийти с помощью другого
метода — χ2.
Для этого метода нет ограничений, свойственных методу Стьюдента: он может
применяться и в тех случаях, когда распределение не является нормальным, а
выборки невелики.
При использовании метода χ2
достаточно сравнить число испытуемых в той и
другой группе, у которых снизилась результативность, и подсчитать, сколько среди
них было получивших и не получивших наркотик; после этого проверяют, есть ли
связь между этими двумя переменными.
Из результатов нашего опыта, приведенных в Таблице 1, видно,
что из 30 испытуемых, составляющих опытную и контрольную группы, у 18
результативность снизилась, а 13 из них получили марихуану. Теперь надо внести
значение этих так называемых эмпирических частот (Э) в специальную
таблицу:
| Результаты | ||||
| Ухудшение | Без изменений или улучшение | Итого | ||
| Условия | После употребления наркотика | 13 | 2 | 15 |
| Без наркотика | 5 | 10 | 15 | |
| Итого | 18 | 12 | 30 | |
Далее надо сравнить эти данные с теоретическими частотами (Т), которые были бы получены, если бы все различия были чисто случайными. Если учитывать только итоговые данные, согласно которым, с одной стороны, у 18 испытуемых результативность снизилась, а у 12 — повысилась, а с другой — 15 из всех испытуемых курили марихуану, а 15 — нет, то теоретические частоты будут следующими:
| Результаты | ||||
| Ухудшение | Без изменений или улучшение | Итого | ||
| Условия | После употребления накортика | 18*15/30=9 | 12*15/30=6 | 15 |
| Без наркотика | 18*15/30=9 | 12*15/30=6 | 15 | |
| Итого | 18 | 12 | 30 | |
Теоретические частоты (Т)
Метод χ2 состоит в том, что оценивают, насколько сходны между собой распределения эмпирических и теоретических частот. Если разница между ними невелика, то можно полагать, что отклонения эмпирических частот от теоретических обусловлены случайностью. Если же, напротив, эти распределения будут достаточно разными, можно будет считать, что различия между ними значимы и существует связь между действием независимой переменной и распределением эмпирических частот.
Для вычисления χ2 определяют разницу между каждой эмпирической и соответствующей теоретической частотой по формуле

а затем результаты, полученные по всех таких сравнениях, складывают:

В нашем случае все это можно представить следующим образом:
| Э | Т | Э-Т | (Э-Т)2 | (Э-Т)2/Т | |
| Наркотик, улучшение | 13 | 9 | +4 | 16 | 1,77 |
| Наркотик, ухудшение | 2 | 6 | -4 | 16 | 2,66 |
| Без наркотика, ухудшение | 5 | 6 | -4 | 16 | 1,77 |
| Без наркотика, улучшение | 10 | 6 | +4 | 16 | 2,66 |
|
χ=S(Э-Т)2/Т= |
8,66 | ||||
Для расчета числа степеней свободы число строк в табл. 2 за вычетом единицы умножают на число столбцов за вычетом единицы. Таким образом, в нашем случае число степеней свободы равно (2- 1)*(2- 1)= 1.
Табличное значение χ2 (см. табл. в Приложении) для уровня значимости 0,05 и 1 степени свободы составляет 3,84. Поскольку вычисленное нами значение х2 намного больше, нулевую гипотезу можно считать опровергнутой. Значит, между употреблением наркотика и глазодвигательной координацией действительно существует связь. Следует, однако, отметить, что если число степеней свободы больше 1, то критерий х2 нельзя применять, когда в 20 или более процентах случаев теоретические частоты меньше 5 или когда хотя бы в одном случае теоретическая частота равна 0 (Siegel, 1956).
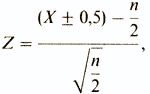
Критерий знаков (биномиальный критерий)
Критерий знаков — это еще один непараметрический метод, позволяющий легко проверить, повлияла ли независимая переменная на выполнение задания испытуемыми, при этом методе сначала подсчитывают число испытуемых, у которых результаты снизились, а затем сравнивают его с тем числом, которого можно было ожидать на основе чистой случайности (в нашем случае вероятность случайного события 1:2). Далее определяют разницу между этими двумя числами, чтобы выяснить, насколько она достоверна.
При подсчетах результаты, свидетельствующие о повышении эффективности, берут со знаком плюс, а о снижении — со знаком минус; случаи отсутствия разницы не учитывают.
Расчет ведется по следующей формуле:

где Х — сумма «плюсов» или сумма «минусов»;
п/2 — число сдвигов в ту или в другую сторону при чистой случайности
один
шанс из двух. (Такая вероятность характерна, например, для п бросаний монеты. В
случае же если п раз бросают игральную кость, то вероятность выпадения
той или иной грани уже равна одному шансу из 6 (п/6))
0,5 — поправочный коэффициент, который добавляют к X, если X<п/2, или вычитают, если X>п/2.
Если мы сравним в нашем опыте результативность испытуемых до воздействия (фон) и после воздействия, то получим
Опытная группа
| Фон: | 12 | 21 | 10 | 15 | 15 | 19 | 17 | 14 | 13 | 11 | 20 | 15 | 15 | 14 | 17 |
| После воздействия: | 8 | 20 | 6 | 8 | 17 | 10 | 10 | 9 | 7 | 8 | 14 | 13 | 16 | 11 | 12 |
| Знак: | - | - | - | - | + | - | - | - | - | - | - | - | + | - | - |
Итак, в 13 случаях результаты ухудшились, а в 2 — улучшились. Теперь нам остается вычислить Z для одного из этих двух значений X:

Из таблицы значений Z можно узнать, что Z для уровня значимости 0,05 составляет 1,64. Поскольку полученная нами величина Z оказалась выше табличной, нулевую гипотезу следует отвергнуть; значит, под действием независимой переменной глазодвигательная координация действительно ухудшилась.
Критерий знаков особенно часто используют при анализе данных, получаемых в исследованиях по парапсихологии. С помощью этого критерия легко можно сравнить, например, число так называемых телепатических или психокинетических реакций (X) с числом сходных реакций, которое могло быть обусловлено чистой случайностью (п/2).
Другие непараметрические критерии
Существуют и другие непараметрические критерии, позволяющие проверять гипотезы с минимальным количеством расчетов.
Критерий ранговпозволяет проверить, является ли порядок следования каких-либо событий или результатов случайным, или же он связан с действием какого-то фактора, не учтенного исследователем. С помощью этого критерия можно, например, определить, случаен ли порядок чередования мужчин и женщин в очереди. В нашем опыте этот критерий позволил бы узнать, не чередуются ли плохие и хорошие результаты каждого испытуемого опытной группы после воздействия каким-то определенным образом или не приходятся ли хорошие результаты в основном на начало или конец испытаний.
При работе с этим критерием сначала выделяют такие последовательности, в которых подряд следуют значения меньше медианы, и такие, в которых подряд идут значения больше медианы. Далее по таблице распределения R (от англ, runs-последовательности) проверяют, обусловлены ли эти различные последовательности только случайностью.
При работе с порядковыми данными используют такие
непараметрические тесты, как тест U (Манна-Уитни) и тест Т
Вилкоксона. Тест U позволяет проверить, существует ли достоверная разница
между двумя независимыми выборками после того, как сгруппированные данные этих
выборок классифицируются и ранжируются и вычисляется сумма рангов для каждой
выборки. Что же касается критерия Т, то он используется для зависимых
выборок и основан как на ранжировании, так и на знаке различий между каждой
парой данных.
Такие данные чаще всего получаются при ранжировании количественных данных,
которые нельзя обработать с помощью параметрических тестов.
Чтобы показать применение этих критериев на примерах, потребовалось бы
слишком много места. При желании читатель может подробнее ознакомиться с ними по
специальным пособиям.

