© А.В. Юревич, М.А. Юревич
Динамика психологического состояния российского общества: экспертная оценка
В методологии современной социогуманитарной науки все более прочное закрепление получает практика применения социальных индикаторов[1], основанных на агрегированных количественных оценках различных характеристик социума. Различные социальные индикаторы активно используются и такими авторитетными международными организациями, как ООН, Статистическое бюро европейского союза (Eurostat), ОЭСР (Организация экономического сотрудничества и развития), Всемирный банк, Европейская Комиссия. Они применяются практически всеми европейскими странами, а также США, Канадой, Японией, Австралией, государствами Латинской Америки и Южной Африки.
В структуре социальных индикаторов важное место принадлежит психологическим компонентам. Как отмечает Г.В. Осипов, «традиционный подход был дополнен субъективным, учитывающим психологическое благополучие людей, появились концепции качества жизни и функциональных способностей (capabilities)» (Осипов, 2011, с. 6). Индексы социальных настроений, социального оптимизма, удовлетворенности жизнью, социального самочувствия населения и др., вычисляемые социологами, имеют ярко выраженную психологическую составляющую[2]. Такие индексы, как коэффициент витальности страны, используемые демографами (Сулакшин, 2006), исследования качества жизни, а также близких ему явлений — субъективного благополучия и др. (Biderman, 1970; Keltner et al., 1993), тоже имеют непосредственное отношение к психологии. Разработаны Индекс счастливой жизни, Индекс счастливой планеты, Индекс валового национального счастья (введенный четвертым королем Бутана и используемый в этой стране вместо показателя ВВП), позволяющие количественно оценивать казалось бы совсем неисчислимое — счастье (см.: Степашин, 2008). Важно отметить, что подобные импульсы родились в экономической науке, где сложились такие направления, как «экономика счастья». В частности, «Неудовлетворенность экономистов объяснительным потенциалом постулата максимизации прибыли привела к выдвижению в качестве цели экономической деятельности понятия «благополучия», которое заменило в этой функции понятие «богатства» (Осипов, 2011, с. 39)[3]. При этом, например, «экономика счастья» во многом переворачивает традиционную логику экономических и социальных оценок, делая акцент на субъективном благополучии и через него оценивая качество объективных условий жизни людей. Основное отличие так называемой «вторичной» модернизации от «первичной» принято усматривать в том, что главной задачей является уже не просто развитие экономики ради удовлетворения материальных потребностей людей, но повышение качества жизни ради удовлетворения их потребностей в счастье и самовыражении.
В самóй психологической науке аналогичные подходы реализуются при оценке субъективного качества жизни, психологического потенциала населения (Зараковский, 2009), социального капитала, по сути, имеющего социально-психологическое наполнение (Татарко, 2011), причем, как отмечает Г.М. Зараковский, «Принципиальным является переход от понимания сущности психологического потенциала индивида к пониманию сущности психологического потенциала социума» (Зараковский, с. 132).
Институтом психологии РАН разработан Композитный индекс психологического состояния общества, а выявленная на его основе динамика психологического состояния современной России, рассмотренная ранее (Юревич, 2009) и подвергнутая дальнейшему мониторингу, показана на рисунке 1.

Рис. 1. Динамика композитного индекса психологического состояния российского общества в 1990–2009 гг. (в баллах).
В русле достаточно общей для социогуманитарных наук установки на целесообразность комбинирования «жестких» индексов, вычисляемых на основе статистических данных, с результатами опросов[4], Институтом психологии РАН был проведен экспертный опрос, направленный на выявление динамики психологического состояния нашего общества. Экспертам было предложено в анкетной форме оценить его психологическое состояние в 1981, 1991 (до распада СССР), 2001 и 2011 гг. Оценка производилась по 70 параметрам, 35 из которых выражали позитивные и 35 — негативные характеристики общества, отобранные в результате предварительных консультаций с экспертами. Многие из этих параметров имели отчетливо выраженный нравственно-психологический смысл. Каждый параметр оценивался по 10-балльной шкале, на которой «1» соответствовала минимальной выраженности соответствующей характеристики, «10» — ее максимальной представленности. В роли экспертов выступили 124 психолога, представляющие различные регионы, разнообразные научно-образовательные центры нашей страны и отвечающие следующим требованиям: 1) возраст, предполагающий, что эксперт способен дать оценку состояния нашего общества в 1981 г. (соответственно, молодые психологи не входили в число экспертов), 2) достаточно высокая квалификация — наличие ученой степени кандидата или доктора наук, 3) область профессиональной деятельности, релевантная макропсихологическим проблемам, и наличие соответствующих публикаций.
Естественно, учитывалось, что любой эксперт достаточно субъективен, особенно когда исследование затрагивает такие эмоционально «разогретые» проблемы, как состояние общества, частью которого он является, и сам подвержен влиянию психологических эффектов. Среди подобных эффектов следует в первую очередь учитывать следующие: 1) ностальгия, под влиянием которой прошлое часто видится в более благоприятном свете, нежели настоящее; 2) старение респондентов, способное оказывать аналогичное воздействие на их оценки; 3) утрата страны, в которой выросли и сформировались опрошенные, и соответствующего общества; 4) видение общего положения дел сквозь призму личной ситуации; 5) рост личных достижений и статуса респондентов в течение рассматриваемого периода времени; 6) восприятие психологических характеристик общества в связи с его социально-экономическим, политическим и т.п. состоянием. Следует отметить и то, что оцениваемые характеристики общества в анкете не определялись (их определение едва ли изменило бы ситуацию), выглядели не вполне однозначно и при существовании некоторых инвариантов их понимания все же имели для разных экспертов несколько различный смысл.
В силу существования перечисленных и других подобных эффектов, оценка экспертами динамики психологического состояния нашей страны во многом представляет собой их субъективное восприятие этой динамики, а также соответствующих характеристик общества, и проливает лишь ограниченный свет на реальную ситуацию. Однако такой же смысл имеют любые экспертные опросы, направленные на оценку социальных ситуаций, при этом позволяя получить информацию об их объективном характере.
Даже с учетом сделанных оговорок полученные результаты (таблица 1, рисунок 2) выглядят достаточно неожиданно. Если произвести сравнение состояния нашего общества в двух крайних точках рассмотренного временного континуума — в 1981 и в 2011 г., то произошло нарастание всех без исключения негативных параметров и снижение подавляющего большинства позитивных. Лишь два позитивных параметра увеличили свои значения — рационализм и свобода, но и в этих случаях позитивная динамика не выглядит достаточно однозначной. Рационализм, видимо, был истолкован частью респондентов не как позитивная, а, скорее, как негативная характеристика общества, выражающая его алчность, меркантильность и т.п. А показатель уровня свободы обнаружил небольшой прирост (0,4) на рассмотренном интервале за счет его скачкообразного роста в 1991 г. (с 3,6 до 6,9) при последующем снижении.
Таблица 1. Динамика психологических характеристик российского общества (1981–2011 гг.)
| П/П | Характеристика психологической атмосферы общества | Значение характеристики в баллах (1 — мин., 10 — макс.) | Изменение значения за период | Изменение значения за период | |||
| 1981 | 1991 | 2001 | 2011 | 2011/1981 | 1991/1981 | ||
| 1 | Агрессивность | 3,30 | 5,45 | 6,55 | 7,23 | 3,93*** | 2,15* |
| 2 | Алчность | 3,07 | 4,94 | 7,19 | 8,29 | 5,22*** | 1,87** |
| 3 | Альтруизм | 5,97 | 5,48 | 3,32 | 2,61 | -3,36*** | -0,49 |
| 4 | Аномия | 4,28 | 4,73 | 6,23 | 6,90 | 2,62*** | 0,45 |
| 5 | Апатия | 6,13 | 3,23 | 5,35 | 7,10 | 0,97 | -2,90*** |
| 6 | Безответственность | 4,93 | 5,4 | 6,43 | 6,63 | 1,70 | 0,47 |
| 7 | Безыдейность | 4,90 | 3,97 | 6,23 | 7,03 | 2,13* | -0,93 |
| 8 | Бескорыстие | 6,30 | 5,29 | 3,16 | 2,32 | -3,98*** | -1,01 |
| 9 | Бесправие | 6,03 | 5,19 | 6,81 | 7,55 | 1,52 | -0,84 |
| 10 | Беспринципность | 4,67 | 4,77 | 7,03 | 7,74 | 3,07*** | 0,10 |
| 11 | Бесцеремонность | 4,33 | 5,77 | 7,06 | 7,42 | 3,09*** | 1,44* |
| 12 | Взаимопомощь | 6,53 | 6,42 | 4,19 | 3,35 | -3,18*** | -0,11 |
| 13 | Взаимопонимание | 6,43 | 5,87 | 4,26 | 3,71 | -2,72*** | -0,56 |
| 14 | Взаимоуважение | 5,83 | 5,19 | 3,71 | 3,06 | -2,77*** | -0,64 |
| 15 | Враждебность | 3,23 | 5,26 | 6,42 | 7,26 | 4,03*** | 2,03** |
| 16 | Вседозволенность | 2,50 | 6,23 | 7,06 | 6,77 | 4,27*** | 3,73*** |
| 17 | Грубость | 4,27 | 5,06 | 6,71 | 7,19 | 2,92*** | 0,79 |
| 18 | Дисциплинированность | 6,40 | 4,16 | 4,23 | 4,13 | -2,27** | -2,24** |
| 19 | Добросовестность | 5,47 | 4,52 | 3,65 | 3,16 | -2,31*** | -0,95 |
| 20 | Доброта | 6,30 | 5,19 | 3,81 | 3,23 | -3,07*** | -1,11 |
| 21 | Доверие | 6,33 | 5,74 | 3,71 | 2,81 | -3,52*** | -0,59 |
| 22 | Жестокость | 3,63 | 5,45 | 6,74 | 7,48 | 3,85*** | 1,82* |
| 23 | Законопослушность | 6,27 | 4,32 | 3,55 | 3,39 | -2,88*** | -1,95** |
| 24 | Злоба | 3,13 | 4,97 | 6,03 | 6,71 | 3,58*** | 1,84** |
| 25 | Интеллектуальность | 6,73 | 6,32 | 4,19 | 3,48 | -3,25*** | -0,41 |
| 26 | Интеллигентность | 6,28 | 5,40 | 3,30 | 2,73 | -3,55*** | -0,88 |
| 27 | Искренность | 5,37 | 6,13 | 4,10 | 3,13 | -2,24** | 0,76 |
| 28 | Конфликтность | 3,77 | 6,10 | 6,71 | 6,97 | 3,2*** | 2,33** |
| 29 | Креативность | 5,60 | 6,39 | 5,16 | 4,26 | -1,34 | 0,79 |
| 30 | Ксенофобия | 3,20 | 4,10 | 6,35 | 7,32 | 4,12*** | 0,90 |
| 31 | Культура | 6,77 | 5,71 | 4,00 | 3,48 | -3,29*** | -1,06 |
| 32 | Ложь | 5,87 | 4,97 | 6,32 | 7,19 | 1,32 | -0,90 |
| 33 | Мафиозность | 3,40 | 5,81 | 7,84 | 8,00 | 4,6*** | 2,41** |
| 34 | Меркантильность | 3,53 | 4,52 | 7,29 | 8,32 | 4,79*** | 0,99 |
| 35 | Мужество | 5,30 | 5,97 | 4,52 | 3,94 | -1,36 | 0,67 |
| 36 | Наглость | 3,43 | 5,35 | 7,00 | 7,65 | 4,22*** | 1,92* |
| 37 | Надежность | 6,45 | 4,87 | 3,53 | 3,03 | -3,42*** | -1,58* |
| 38 | Напряженность | 3,13 | 6,77 | 6,23 | 6,77 | 3,64*** | 3,64*** |
| 39 | Насилие | 3,27 | 5,58 | 6,87 | 7,29 | 4,02*** | 2,31** |
| 40 | Невоспитанность | 4,23 | 5,19 | 6,74 | 7,16 | 2,93*** | 0,96 |
| 41 | Ненависть | 2,97 | 5,06 | 6,00 | 6,90 | 3,93*** | 2,09* |
| 42 | Необязательность | 4,47 | 5,68 | 6,29 | 6,81 | 2,34** | 1,21 |
| 43 | Нравственность | 6,21 | 5,33 | 3,73 | 3,03 | -3,18*** | -0,88 |
| 44 | Оптимизм | 5,27 | 6,9 | 4,52 | 3,16 | -2,11** | 1,63** |
| 45 | Отзывчивость | 6,33 | 5,71 | 3,90 | 3,03 | -3,3*** | -0,62 |
| 46 | Патриотизм | 6,83 | 5,97 | 3,87 | 3,29 | -3,54*** | -0,86 |
| 47 | Подлость | 3,66 | 4,60 | 6,23 | 6,53 | 2,87*** | 0,94 |
| 48 | Подозрительность | 4,10 | 4,40 | 5,60 | 6,10 | 2* | 0,3 |
| 49 | Порядочность | 6,14 | 4,90 | 3,73 | 2,93 | -3,21*** | -1,24 |
| 50 | Психологическая безопасность | 6,53 | 4,35 | 3,61 | 2,61 | -3,92*** | -2,18** |
| 51 | Пустословие | 7,27 | 6,9 | 6,81 | 7,68 | 0,41 | -0,37 |
| 52 | Развязность | 3,77 | 5,68 | 6,23 | 6,42 | 2,65** | 1,91* |
| 53 | Рациональность | 4,30 | 4,29 | 5,03 | 5,71 | 1,41* | -0,01 |
| 54 | Самоконтроль | 5,45 | 3,97 | 4,13 | 4,40 | -1,05 | -1,48* |
| 55 | Свобода | 3,60 | 6,90 | 4,97 | 4,00 | 0,40 | 3,3*** |
| 56 | Сквернословие | 4,03 | 5,37 | 6,77 | 7,33 | 3,3*** | 1,34 |
| 57 | Скромность | 6,55 | 4,63 | 3,27 | 2,70 | -3,85*** | -1,92* |
| 58 | Сочувствие | 6,57 | 5,52 | 3,90 | 3,13 | -3,44*** | -1,05* |
| 59 | Спокойствие | 6,93 | 3,61 | 3,52 | 3,35 | -3,58*** | -3,32*** |
| 60 | Справедливость | 4,37 | 4,19 | 2,77 | 2,45 | -1,92* | -0,18 |
| 61 | Страх | 3,17 | 5,48 | 6,03 | 6,42 | 3,25** | 2,31* |
| 62 | Тактичность | 5,38 | 4,03 | 3,27 | 2,77 | -2,61*** | -1,35* |
| 63 | Тревожность | 3,50 | 6,13 | 6,32 | 6,94 | 3,44*** | 2,63** |
| 64 | Трудолюбие | 5,90 | 4,81 | 4,10 | 3,68 | -2,22** | -1,09 |
| 65 | Фамильярность | 3,45 | 5,4 | 5,87 | 5,83 | 2,38*** | 1,95*** |
| 66 | Хамство | 4,21 | 5,67 | 6,70 | 7,07 | 2,86** | 1,46 |
| 67 | Цивилизованность | 5,47 | 4,68 | 4,13 | 4,13 | -1,34 | -0,79 |
| 68 | Человечность | 6,66 | 5,47 | 3,83 | 3,20 | -3,46*** | -1,19* |
| 69 | Честность | 5,67 | 4,94 | 3,61 | 3,06 | -2,61*** | -0,73 |
| 70 | Эгоизм | 4,17 | 5,16 | 7,23 | 8,03 | 3,86*** | 0,99 |
Примечание: * p<0,05; ** p<0,01; *** p<0,001.

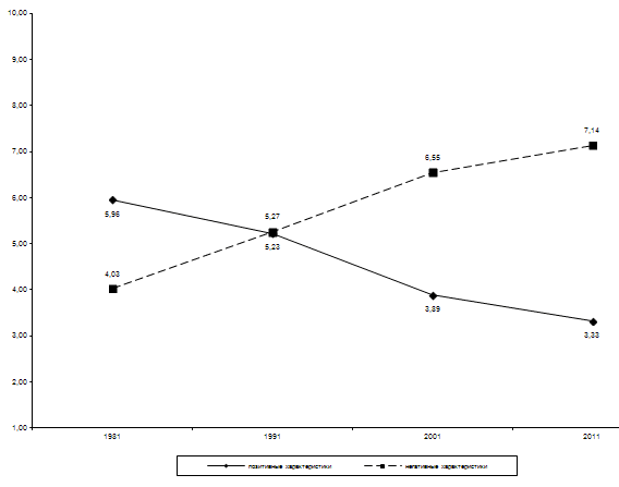
Рис. 2. Суммарная динамика позитивных и негативных психологических характеристик российского общества
Среди негативных характеристик наиболее выраженную динамику обнаружили агрессивность, алчность, аномия, беспринципность, бесцеремонность, враждебность, вседозволенность, грубость, жестокость, злоба, конфликтность, ксенофобия, ложь, мафиозность, меркантильность, наглость, напряженность, насилие, невоспитанность, ненависть, подлость, сквернословие, тревожность, фамильярность, эгоизм. При этом самые высокие темпы прироста обнаружила алчность (5,22), меркантильность (4,79) и мафиозность (4,60).
По абсолютному значению показателей наиболее рельефными оказались такие негативные характеристики нашего общества, как агрессивность, алчность, апатия, безыдейность, бесправие, беспринципность, бесцеремонность, враждебность, грубость, жестокость, ксенофобия, ложь, мафиозность, меркантильность, наглость, насилие, невоспитанность, пустословие, сквернословие, хамство и эгоизм, а самыми выраженными из них — меркантильность (8,32), алчность (8,29) и эгоизм (8,03).
Из положительных характеристик наибольшие «потери» понесли альтруизм, бескорыстие, взаимопомощь, взаимопонимание, взаимоуважение, добросовестность, доброта, доверие, законопослушность, интеллектуальность, интеллигентность, культура, надежность, нравственность, патриотизм, порядочность, психологическая безопасность, скромность, сочувствие, спокойствие, тактичность, честность и человечность. Самая большая разница значений 1981 и 2011 гг. была обнаружена по параметрам бескорыстия (3,98), психологической безопасности (3,92) и скромности (3,85). Показательно и то, что лишь по одному позитивному параметру — рационализм — наше общество оценивается экспертами на уровне выше среднего (5,7), причем он, как уже отмечалось, скорее всего, не был истолкован ими как однозначно позитивная характеристика. Правда, по некоторым из позитивных параметров экспертные оценки приближаются к среднему уровню: дисциплинированность (4,13), креативность (4,26), самоконтроль (4,40), свобода (4,00), цивилизованность (4,13).
Следует отметить и то, что по ряду характеристик динамика психологического состояния российского общества была оценена экспертами как линейная — в основном как поэтапное ухудшение от 1981 к 1991 и далее к 2001 и 2011 гг. (что, естественно, не исключает нелинейности внутри соответствующих 10-летних интервалов), по другим — как нелинейная. К числу последних принадлежат такие характеристики, как апатия, безыдейность, бесправие, вседозволенность, дисциплинированность, искренность, креативность, ложь, мужество, напряженность, оптимизм, пустословие, рациональность, самоконтроль, свобода, цивилизованность. В большинстве подобных случаев общим рисунком нелинейного изменения характеристик было их улучшение от 1981 г. к 1991 г., с последующим ухудшением. Подобная траектория соответствует одному из основных способов восприятия положения дел в нашем обществе, состоящему в том, что в 1991 г. у наших сограждан появились надежды, которые впоследствии не оправдались, в результате чего ситуация 1991 г., невзирая на ее объективный характер (неуправляемость страны, явные признаки ее приближающегося распада, острый дефицит товаров первой необходимости и т.п.), видится в более позитивном свете, чем положение дел в 2001 и 2011 гг. В частности, по мнению опрошенных, в 1991 г. мы были менее апатичны, бесправны и лживы, более искренни, креативны, мужественны, оптимистичны и свободны, чем в предшествующий и последующие периоды.
Вместе с тем ряд характеристик при нелинейности их изменения не вписывается и в этот рисунок «ностальгии по 1991-му». Так, вседозволенность оценивается как максимальная именно в 1991 г., а впоследствии пошедшая на снижение, что тоже соответствует известной схеме восприятия: «порядка стало больше». Уровень дисциплинированности видится как существенно снизившийся с 1981 по 1991 гг., затем несколько возросший к 2001 г., но потом опять понизившийся, правда, на незначительную величину. Напряженность характеризуется как максимальная в 1991 г., что было естественным в преддверии последовавших событий, потом несколько понизившаяся, но к 2011 г. опять повысившаяся и достигшая уровня 1991 г. Уровень пустословия оценен как поэтапно снижавшийся от 1981 к 2001 гг., но затем вновь возросший к 2011 г. и превысивший уровень 1981 г. Рациональность оценена как снизившаяся к 1991 г., но затем поэтапно повышавшаяся. Так же оценена и динамика самоконтроля. Цивилизованность нашего общества расценена экспертами как поэтапно снижавшаяся с 1981 к 2001 гг. и впоследствии «заморозившаяся» на этом уровне.
В результате факторного анализа полученных данных были выявлены 4 главных фактора, объясняющие динамику позитивных характеристик нашего общества и условно названные: 1) благожелательность, 2) самоорганизация, 3) интеллектуальный потенциал, 4) пассионарность, а также 4 фактора, объясняющие динамику его негативных характеристик: 1) ожесточенность, 2) антисоциальность, 3) одичание, 4) опустошенность (см. таблицу 2).
Таблица 2. Факторы, объясняющие динамику позитивных и негативных характеристик российского общества
| Позитивные компоненты (факторы) | Объясненная дисперсия (%) |
| 1. Благожелательность | 22,9 |
| 2. Самоорганизация | 18,7 |
| 3. Интеллектуальный потенциал | 17,8 |
| 4. Пассионарность | 13,0 |
| Негативные компоненты (факторы) | |
| 1. Ожесточенность | 31,9 |
| 2. Антисоциальность | 16,8 |
| 3. Одичание | 10,8 |
| 4. Опустошенность | 10,3 |
Примечание: применялся ортогональный способ вращения (Varimax).
Имеет смысл рассмотреть полученные данные и под углом зрения традиционного вопроса о том, «Какую страну мы потеряли?» (в психологическом плане). При этом сразу же бросается в глаза, что ответ на него будет совершенно различным в зависимости от того, отнесем ли мы этот вопрос к нашей стране 1981 г. или 1991 г. — к более или менее безмятежной «эпохе застоя» или к куда более беспокойному времени «распада». Советское общество 1981 г. по подавляющему большинству положительных характеристик получает оценку выше средней, а по основной части отрицательных — ниже ее, то есть обрисовывается экспертами как в основном психологически благополучное общество. Исключения составляют лишь его оценки по таким параметрам, как апатия, бесправие, пустословие, рациональность, свобода и справедливость: при своем в целом благополучном характере оно оценивается как достаточно апатичное, бесправное, не свободное, не справедливое, иррациональное и склонное к пустословию. Наиболее же позитивно наше общество, каким оно было в 1981 г., выглядит в плане слабой выраженности ряда негативных характеристик — в первую очередь, таких, как алчность, меркантильность, вседозволенность, агрессивность, злоба, жестокость, конфликтность, ксенофобия, мафиозность, наглость, ненависть, напряженность, подлость, развязность, фамильярность и страх. Группируя его характеристики, наше общество того времени можно охарактеризовать как достаточно «доброе» и не меркантильное.
Что же касается психологического состояния нашей страны в 1991 г., то оно выглядит как переходное — от «доброго» к «злому» обществу. В сравнении с 1981 г. его позитивные характеристики в большинстве своем приобретают меньшие, а негативные — большие значения. Большинство же оценок — как по позитивным, так и по негативным параметрам — находятся в районе средних величин, в численном выражении — от 4 до 5 единиц, а более радикальные оценки по обеим группам характеристик встречаются редко. Это значит, что в психологическом плане наше общество того времени характеризуется как не «доброе», по сравнению с 1981 г., но и не «злое», по сравнению с более поздними временами. Самые выраженные негативные сдвиги, по сравнению с 1981 г., наблюдаются по таким параметрам, как напряженность, спокойствие и фамильярность. Вместе с тем наблюдается и улучшение по ряду параметров, таких как апатия, безыдейность, бесправие, искренность, креативность, ложь, мужество, пустословие, оптимизм и свобода: наше общество 1991 г., по сравнению с его состоянием в 1981 г., характеризуется как более честное, свободное, оптимистичное и т.д., что едва ли нуждается в комментариях.
В связи с сопоставлением экспертами психологического состояния России в 1981 г. и 1991 г. следует в очередной раз подчеркнуть, что характеристика ее состояния в 1991 г. относилась к дореформенному периоду. Если воспринимать экспертные оценки как выражение объективной реальности, то они служат опровержением распространенной точки зрения, согласно которой радикальное ухудшение психологической атмосферы России явилось результатом реформ, которые принято отмерять от 1991 г. Согласно же мнению экспертов, радикальные психологические изменения произошли до начала реформ (хотя и продолжились в дальнейшем), став продуктом тех социально-политических, экономических и макропсихологических процессов, которые развернулись не в 1990-е гг., а раньше. И действительно, очевидные симптомы начала развала страны, ее неуправляемости, обострения межэтнических отношений, криминализации и легализации криминальных отношений, деградации морали, появления личности нового типа, ориентированной на деньги и их зарабатывание любыми, в том числе и криминальными, способами и т.п. проявлялись уже как минимум в конце 1980-х гг., а реформы начала 1990-х гг. были активно поддержаны населением, поскольку воспринимались им как путь к преодолению этой ситуации. Существенно подчеркнуть и то, что значительное приращение воспринимаемой свободы произошло к 1991 г., то есть еще при советской власти, а в дальнейшем пошло на убыль.
В данной связи уместно вспомнить высказанную многими известными политологами мысль о том, что революции и другие радикальные социальные реформы, вопреки марксисткой логике, являются реакцией не на отсутствие изменений (всевозможные «застои»), а на неудачные реформы более раннего периода (Kimmel, 1990; и др.) (В частности, наша Октябрьская революция была предварена Февральской революцией и вызванной ею неуправляемостью страны.) Вместе с тем необходимо учитывать, что в подобных бифуркационных точках развития общества у него всегда есть выбор, и хотя такие идеологи отечественных реформ, как, например, Е.Т. Гайдар, постоянно подчеркивали, что в 1991 г. у нашей страны выбор отсутствовал (Гайдар, 2006) и избранный ими сценарий был единственно возможным, представляется, что в действительности имелись другие, и притом позитивные, варианты развития событий; впоследствии это было признано даже такими зарубежными адептами радикальных рыночных реформ, как М. Фридман.
Аналогичный вектор психологических изменений нашего общества был зафиксирован другими исследователями, в том числе и социологами, в последние годы проявляющими большой интерес к его социально-психологическим характеристикам, что очень симптоматично. Так, в 2005 г. ВЦИОМ предложил респондентам вопрос: «Как, на Ваш взгляд, за последние 10–15 лет изменились качества людей, которые Вас окружают?». По мнению опрошенных, у наших сограждан значительно усилились такие качества, как цинизм и «умение идти напролом», и существенно ослабли бескорыстие, патриотизм, верность товарищам, доброжелательность, душевность, взаимное доверие, честность и искренность (Чего делать нельзя…, 2012). Результаты другого опроса ВЦИОМ, проведенного в следующем, 2006 г., продемонстрировали, что, по мнению двух третей населения, в последние годы морально-нравственный климат нашего общества изменился в худшую сторону. А еще одно исследование показало, что на вопрос «Считаете ли вы, что большинству людей можно доверять?» в 1990 г. ответили утвердительно 34,7% россиян, в 1999 г. — уже 22,9%, в 2000-е годы — примерно столько же (Татарко, 2011), то есть уровень межличностного доверия в нашем обществе снизился в 1990-е годы, а затем оставался практически без изменения, сопровождаясь также низким уровнем доверия социальным институтам (там же).
Близкий смысл имеет и изменение ценностных ориентаций наших сограждан, изученное Г.М. Зараковским (Зараковский, 2009). Д.В. Сочивко и Н.А. Полянин на основе проведенного ими исследования дают такую характеристику социально-психологической атмосферы современной России: «Наша страна находится в том состоянии, которое Дюркгейм назвал “аномией”, что объясняет возникновение многих современных социальных проблем: кризис нравственности и правового сознания, социальная нестабильность, политическая дезориентация и деморализация населения, падение ценности человеческой жизни, утрата ее смысла, экзистенциальный вакуум, цинизм, ценностный и правовой нигилизм. Как следствие, наблюдается рост агрессивных и преступных тенденций, прогрессирование отчужденности, повышенной тревожности, деформации правосознания в молодежной среде» (Сочивко, Полянин, 2009, с. 182–183).
При этом обнаруживаются существенные расхождения ценностных ориентаций различных социальных групп, в первую очередь, молодежи — «детей 1990-х и 2000-х», сформировавшихся как личности в эти годы, и «советских» поколений[5]. Так, в исследовании Н.М. Лебедевой было показано, что приоритетными ценностями для современных российских студентов являются независимость, самоуважение, свобода, достижение успеха, самостоятельный выбор целей и др., а для их преподавателей — ответственность, социальный и национальный порядок, мир на Земле, честность, уважение к старшим (Лебедева, 2000). Существенные различия в ценностных ориентациях поколений выявлены и другими авторами (см., например: Зараковский, 2009), причем наша нынешняя молодежь формирует и свою собственную мораль, в рамках которой, например, агрессивность является позитивным качеством, а наглость, развязность, бесцеремонность и т.п. объединяются тоже позитивным понятием «раскованность». Впрочем, и против констатации: «Каково общество — такова и молодежь» (Сочивко, Полянин, 2009, с. 200),— трудно что-либо возразить, равно как и против утверждения о том, что «Рассчитывать на эффективную культурную самореализация молодого поколения в больном обществе не приходится» (там же, с. 202).
Интерпретация полученных данных может быть построена вокруг двух принципиальных возможностей (а также их комбинации). Первая состоит в рассмотрении динамики психологического состояния России как объективно представленной сквозь призму его восприятия экспертами-психологами. В этом случае приходится признать, что: 1) эта динамика в целом негативна; 2) психологическое состояние современного российского общества очень неудовлетворительно; 3) нашему обществу в значительной мере свойственны такие характеристики, как агрессивность, апатия, безыдейность, бесправие, беспринципность, бесцеремонность, враждебность, грубость, жестокость, ксенофобия, ложь, наглость, насилие, невоспитанность, пустословие, сквернословие, хамство; 4) наиболее выраженными отрицательными характеристиками современного российского общества являются алчность, меркантильность и эгоизм. При этом, естественно, надо оговориться, что даже при признании объективного характера такой картины, «общество в целом» представляет собой абстракцию: любое реальное общество состоит из конкретных индивидов и различных социальных групп, и подобная картина носит сугубо обобщенный, не учитывающий индивидуальные различия и многие другие нюансы характер.
Вторая принципиальная возможность в интерпретации полученных данных заключается в рассмотрении самой «призмы», то есть тех факторов, которые могли сдвинуть экспертную оценку в сторону негативизма. При этом следует учитывать, что среди рассмотренных выше психологических эффектов, таких как ностальгия и др., не все действуют именно в данном направлении. Например, наверняка многие из респондентов в 2011 г. имели более высокий уровень жизни, чем в 1981 и 1991 гг., обладают атрибутами благосостояния (квартиры, машины, дачи и т.п.)[6], которых тогда не имели, поэтому соответствующие эффекты «сопряженности» психологических и социально-экономических оценок, а также придания личной ситуации более общего смысла могли бы приводить к более оптимистичному видению происходящего.
Влияние проекции личного на общее, безусловно, имеет место. Так, например, наверняка многие (если не все) опрошенные сами становились объектами хамства, агрессии, недобросовестности и других негативных явлений в нашем обществе и проецируют соответствующий личный опыт на его общую характеристику. Но, во-первых, они не были защищены от всего этого и в советские годы, во-вторых, вынесение общих оценок на основе подобного личного опыта является вполне объективным способом — от частного к общему — их формирования. Правда, можно предположить, что более свежий негативный личностный опыт имеет большее влияние на такие оценки, чем более давний, особенно относящийся к периодам 30, 20 и 10-летней давности, но в таком случае трудно объяснить, почему более свежий позитивный опыт не оказывает такого же воздействия.
Возможно, в данном случае проявляется оценка, аналогичная той, которую дают динамике нашего общества некоторые журналисты и общественные деятели: «жизнь стала объективно лучше, но противнее». Можно предположить и то, что как чувствительность, так и требовательность граждан, в том числе и экспертов, к психологической атмосфере в обществе по мере удовлетворения их материальных потребностей возрастает. Следует иметь в виду и закономерность, состоящую в том, что с ростом уровня образования удовлетворенность в различных областях субъективного благополучия обычно снижается, а критичность к происходящему в обществе нарастает (Осипов, 2011).
Подобные возможности укладываются в теорию мотивации А. Маслоу, а также в тот хорошо известный факт, что неудовлетворенность основных материальных потребностей вынуждает концентрироваться именно на них, оттесняя на второй план психологические проблемы. Аналогичное предположение можно сделать в отношении социально-политического состояния общества. Когда же материальные потребности основной части населения в целом удовлетворены (вынесем в данном контексте за скобки общеизвестные факты огромного имущественного расслоения нашей страны, наличия больших социальных групп, живущих за чертой бедности, и т.п.), на первый план выходят не экономические, а социальные и психологические проблемы, что органично вписывается в теорию А. Маслоу, а также в разработанные на основе аналогичной логики теории потребностей Е. Деси и Р. Райана (Deci, Ryan, 2000; и др.).
В этой ситуации важнейшее значение приобретает также дефицит у значительной части населения смысложизненных ориентаций (в частности, отсутствие внятной национальной идеи), которые тоже могут создавать массовую неудовлетворенность происходящим. Когда цель жизни состоит в выживании и удовлетворении первичных материальных потребностей, их отсутствие, по той же теории А. Маслоу, должно переживаться менее остро. Как полагает Г.М. Зараковский, «качество жизни больше зависит от наличия личностного роста и наличия смысла жизни, чем от удовлетворения базовых потребностей» (Зараковский, 2009, с. 105). Он же на основе количественного анализа формулирует вывод о том, что «наибольший вклад в обобщенный индекс удовлетворенностью жизнью вносят не “материальные”, а “психофизиологические” факторы (отношения в семье; дружба, общение; личная безопасность и безопасность семьи; состояние здоровья человека и членов его семьи). Наименьший вклад вносят такие факторы, как: экономическая и политическая обстановка в стране; творческая самореализация на работе и вне работы; социальная инфраструктура; экология» (там же, с. 110)[7].
В данном плане заслуживают внимания исследования, демонстрирующие отсутствие прямой связи между, с одной стороны, такими показателями, как количественно измеренные «уровень счастья», субъективное качество жизни и др., с другой — материальным благополучием. По данным шведской компании «World Values Survey», первые места по субъективному качеству жизни занимают Венесуэла и Нигерия, а богатые западные страны им существенно уступают. Большинство развитых стран имеют очень низкие показатели и по индексам счастья. Например, по Индексу счастливой жизни (или Счастливых лет жизни, HLY) члены «восьмерки» распределились следующим образом: Италия — 66-е место в мире, Германия — 81-е, Япония — 95-е, Великобритания — 108-е, Канада — 111-е, Франция — 129-е, США — 150-е, Россия — 172-е (Marks et al., 2006).
Аналогичные данные были получены и в других исследованиях, продемонстрировавших весьма парадоксальную связь между объективным и субъективным качеством жизни (Diener, Suh, 1999). Широко известны также «парадокс Истерлина» и другие подобные феномены, состоящие в том, что субъективное благополучие не пропорционально уровню доходов в силу действия таких механизмов, как «гедонистический бег по кругу» (рост доходов сопровождается ростом уровня притязаний) и т.д. В результате, например, уровень доходов граждан США в период после Второй мировой войны непрерывно рос, а доля людей, считающих себя счастливыми, постоянно снижалась (Blanchflower et al., 2000). Во всех странах, где измерялись Индекс устойчивого экономического благосостояния (ISEW) и Истинный индикатор прогресса (GPI), значения этих индикаторов обнаружили нелинейную связь с размерами ВВП, что породило «пороговую гипотезу», согласно которой ВВП и благосостояние растут параллельно до определенной точки, по достижении которой возрастание ВВП уже не сопровождается ростом благосостояния (Stiglitz et al., 2012). А в некоторых странах, например, в Швейцарии, даже выявлена обратная связь между размером доходов и уровнем субъективного благополучия.
Все сказанное, конечно, не означает, что путь к счастью населения России лежит через его тотальное обнищание, равно как и то, что нашей стране следует делать акцент на неэкономические пути повышения субъективного благополучия ее граждан, что регулярно происходило в ее истории (их подчинение общей цели и т.п.). Однако, во-первых, оно понуждает к менее прямолинейному видению взаимоотношения экономических и психологических показателей, во-вторых, служит очередным опровержением «экономического детерминизма», который был очень характерен для отечественных реформаторов начала 1990-х, убежденных в том, что главное — поднять экономику, а все остальное «приложится». Последующие годы развития России и опыт других стран убедительно показывают: «Экономический прогресс не сопровождается автоматически прогрессом социальным, политическим, духовным. Высокий уровень материального благосостояния в обществе часто сопровождается ростом бездуховности, аморализма, нарастанием социальных девиаций» (Осипов, 2011, с. 37). При этом «такие категории, как удовлетворенность жизнью, качество жизни, уровень развития человеческого потенциала, являются многофакторными и не связаны прямой зависимостью с ВВП» (там же).
***
Обобщая полученные данные и близкие по смыслу результаты других исследований, уместно вспомнить о том, что, когда общество становится более свободным, это приводит к высвобождению и в обществе, и в человеке не только лучшего, но и худшего, о чем систематически забывают реформаторы, осуществляющие либеральные реформы без должной осторожности. По-видимому, это произошло и с нашим обществом, ставшим более злобным, наглым, развязным и приобретшим другие описанные выше негативные психологические характеристики. Естественно (напомним об этом в очередной раз), общество в целом — это абстракция, одни его представители такими стали, другие — нет; но у тех, кто не поддался негативным тенденциям, подобные изменения окружения вызвали значительное ухудшение психологического состояния в виде потери чувства психологической безопасности и т.п. Однако удивляет то, что и некоторые позитивные качества, которые, казалось бы, должны были проявиться в результате либерализации, согласно полученным нами данным, пошли на убыль. Например, интеллектуальность и креативность, которые, как показывает опыт других стран, обычно стимулируются рыночной экономикой, согласно экспертным оценкам, в нашем обществе снизились. В то же время это не выглядит неожиданным, если принять во внимание специфику отечественного варианта рыночной экономики, ее не инновационный, а спекулятивно-сырьевой характер, который не предъявляет высоких требований к интеллекту и креативности, хотя и такая характерная для нее махинация, как строительство финансовых пирамид, требует креативности, но тоже достаточно специфической. Не выглядит сенсационным и снижение уровня ощущаемой свободы после 1991 г.: если свобода сочетается с хамством, злобой, наглостью, то она перерождается именно в свободу хамства (а также публичного сквернословия и т.д.), которая не имеет ничего общего с истинной, цивилизованной свободой.
Обсуждая полученные данные, отметим также, что даже возможность повышения негативности восприятия экспертами психологического состояния российского общества в результате улучшения его экономического состояния не делает проблему менее актуальной, а лишь обусловливает необходимость ее постановки в новой плоскости. Приходится признать, что: 1) позитивные изменения в экономическом состоянии общества автоматически не влекут за собой улучшение его психологического состояния, а могут, напротив, сопровождаться его ухудшением; 2) повышение уровня жизни и общая стабилизация в стране не заменяет человеку психологического комфорта и часто делают его отсутствие еще более ощутимым; 3) именно психологические проблемы общества выходят на первый план при улучшении экономической ситуации; 4) в этих условиях их решение должно относиться к числу приоритетов государственной политики.
Вместе с тем, как показано, например, Г.М. Зараковским, наши властные структуры психологическому состоянию страны практически не уделяют внимания. В частности, «действующие сейчас национальные проекты и другие предпринимаемые властными институтами меры вряд ли будут достаточно эффективными, поскольку не подкреплены действиями, направленными на повышение психологического качества населения, несмотря на то, что в выступлениях президента РФ, в программе фактически правящей партии “Единая Россия” много говорится о человеке как основной движущей силе социально-экономического развития» (Зараковский, 2009, с. 275). В то же время было бы неверно и несправедливо во всем винить лишь власть, не учитывая, каковы мы сами, в какой мере мы выдержали испытание свободой и что именно она в нас высвободила, а также игнорируя вопросы о том, культивирует ли власть в наших согражданах склонность к хамству, сквернословию и т.п.
Эмигрировавший в США выдающийся российский социолог П.А. Сорокин выделил два основных типа личности, характеризующихся либо «созидательным альтруизмом», либо — «агрессивным эгоизмом» (Сорокин, 1992). Судя по изложенным в этой статье и другим подобным данным, наша страна движется в направлении «агрессивного эгоизма» — в плане и преобладающих ценностных ориентаций, и удельного веса личностей соответствующего типа. Это не только удручает в морально-нравственном отношении, но и создает серьезные и явно недооцениваемые стратегами отечественных реформ препятствия созданию инновационной экономики как нуждающейся в доминировании в обществе созидательных, а не агрессивно-стяжательных установок. В результате одним из главных условий инновационного развития России является радикальное изменение психологического состояния нашего общества.
Литература
- Балацкий Е.В. Факторы удовлетворенности жизнью: измерение и интегральные показатели // Мониторинг общественного мнения. 2005. № 4. С. 42–52.
- Гайдар Е.Т. Гибель империи. Уроки для современной России. М.: Российская политическая энциклопедия, 2006.
- Зараковский Г.М. Качество жизни населения России: психологические составляющие. М.: Смысл, 2009.
- Лебедева Н.М. Базовые ценности русских на рубеже XXI века // Психологический журнал. 2000. Т. 21. № 3. С. 73–81.
- Осипов Г.В. Измерение социальной реальности. М.: ИСПИ РАН, 2011.
- Сорокин П.А. Дальняя дорога: Автобиогрфия. М.: ТЕРРА, 1992.
- Сочивко Д.В., Полянин Н.А. Молодежь России: образовательные системы, субкультуры, исправительные учреждения. М.: МПСИ, 2009.
- Степашин С.В. Государственный аудит и экономика будущего. М.: Наука, 2008.
- Сулакшин С.С. Российский демографический кризис: от диагностики к преодолению. М.: Научный эксперт, 2006.
- Татарко А.Н. Социальный капитал как объект психологического исследования. М.: Макс Пресс, 2011.
- Чего делать нельзя, но иногда можно? // ВЦИОМ. Пресс-выпуск № 235. (дата обращения: 11.03.2012).
- Юревич А.В. Динамика психологического состояния современного российского общества // Вестник РА. 2009. Т. 79. № 2. С. 112–118.
- Biderman А. Social indicators — whence and whither? Wash.: Statistical Policy Division, 1970.
- Blanchflower D.G., Oswald A.J., Janoff-Bulman R. Well-being over time in Britain and USA. NBER Working paper. № 7487. Cambridge: Cambridge, Mass., 2000.
- Deci E.L., Ryan R.M. The “what” and “why” of global pursuits: Human needs and the self-determination of behavior // Psychological Inquiry. 2000. №11. P. 227–268.
- Diener E., Suh E.M. National differences in subjective well-being // Well-being. The foundations in hedonic psychology / Ed. by D. Kahntman, E. Diener. NY: Russel Sage, 1999. P. 434–450.
- Giovanini E., Hall J. Morrone A., Rannuzi G. A framework to measure the progress of societies. OECD Working Paper, 2009.
- Keltner D., Locke K.D., Audrian P.C. The Influence of Attributions on the Relevance of Negative Emotions to Personal Satisfactions // Personality and Soсial Psychology Bulletin. 1993. V. 19. P. 21–29.
- Kimmel M.S. Revolution: a Sociological Interpretation. Philadelphia: Temple University Press, 1990.
- Marks N., Aballah S., Simms A., Thompson S. The Happy Planet Index. An index of human well-being and environment impact. L.: New economics foundation, 2006.
- Stiglitz J., Sen A., Fitoussi J.-P. Report by the Commission on the Measurement of Economic Performance and Social Progress. (дата обращения: 4.03.2012).
[1] Термин «социальные индикаторы» появился в США в начале 1960-х годов по инициативе Американской академии искусств и науки, которая выполняла заказ NASA. В 1970-е годы Правительство США стало регулярно публиковать соответствующие данные, был создан журнал Social Indicators Research, аналогичный подход был взят на вооружение международными организациями, такими как ООН и ОЭСР. Затем, в 1980-е, произошел некоторый спад интереса к социальным индикаторам, но в 1990-е годы началось его возрождение. Это случилось вследствие принятия международным сообществом программы устойчивого развития, а на смену разрозненным социальным индикаторам пришли композитные, включающие различные компоненты, индексы (Степашин, 2008).
[2] Подчеркнем, что и первичные компоненты этих индексов тоже во многом «психологизированы». Например, индекс удовлетворенности жизнью, предлагаемый Е.В. Балацким, включает такие первичные показатели, как творческая самореализация, эффективные неформальные социальные контакты (дружба, общение, взаимопонимание, секс и т.п.) (Балацкий, 2005).
[3] Благополучие обычно понимается как складывающееся из шести факторов: 1) физического и психического здоровья, 2) наличия профессионально необходимых знаний, 3) хорошей работы, 4) материального благополучия, 5) свободы и самоопределения, 6) благоприятных межличностных отношений (Giovani et al., 2009). Трудно не заметить, насколько «психологизировано» это понятие, тоже зародившееся в экономической науке.
[4] В частности, Комиссия по измерению экономической эффективности и качества жизни, созданная по инициативе Н. Саркози, рекомендует дополнить существующие индексы показателями психологического здоровья людей, их чувств и оценок, полученными в ходе опросов (Stiglitz et al., 2012).
[5] Отметим, что «конфликт поколений» в том или ином виде существует в любом обществе, но в своих экстремальных формах он тоже служит симптомом его психологического неблагополучия.
[6] Различные исследования показывают, что удовлетворенность наших граждан своим материальным положением с начала 2000-х годов в целом нарастает (Зараковсикй, 2009). Однако «Как ни странно, несмотря на то, что, согласно данным государственной статистики, в течение 2004–2006 гг. экономическое благополучие населения в целом неуклонно повышалось, субъективное качество жизни россиян хотя и медленно, но снижалось» (там же, с. 98). Г.М. Зараковский объясняет подобный парадокс тем, что «По-видимому, на население негативно воздействует какой-то объективный психологический фактор» (там же), «фактор Х», как иногда называют такие «загадочные» детерминанты (Осипов, 2011).
[7] Очень актуальным представляется и наблюдение Г.М. Зараковского о том, что с конца 1990-х годов к середине 2000-х в нашей стране существенно ухудшилась статистика заболеваний, в этиологии которых большую роль играют стрессогенные факторы (заболевания системы кровообращения и органов пищеварения), в то время как количество заболеваний инфекционными и паразитарными болезнями, напротив, снизилось. Автор объясняет этот феномен в свете двух возможностей: 1) расхождение адаптации к происходящему на сознательном и бессознательном уровнях, 2) психофизиологические издержки более активного образа жизни, в частности, многократной занятости и т.п., необходимые для адаптации к новым экономическим условиям (там же).
Источник:
Нравственность современного российского общества: психологический анализ. М.: ИП РАН, 2013.
© А.В. Юревич, М.А. Юревич, 2013 г.
© Публикуется с любезного разрешения авторов

