© Асхат Кутлалиев, Алексей Попов
Контент-анализ рекламы
По сути, контент-анализ рекламы представляет собой некий гибрид количественного и качественного подходов. В целом это довольно распространенный метод исследований, но популярность, как известно, всегда влечет за собой вульгаризацию. Не избежал такой судьбы и этот исследовательский инструмент. Очень часто можно услышать в самых различных ситуациях (при презентации медиаплана или в момент обзора рекламной активности конкурентов), что такие-то и такие-то выводы сделаны на основании контент-анализа. При этом объяснить, что конкретно было проведено, докладчики обычно затрудняются. Вместе с тем при правильном его использовании контент-анализ очень хорошо помогает изучать рекламную практику в целом, отслеживать конкретные рекламные стратегии и делать выводы об эффективности или неэффективности рекламных кампаний.
Основная цель контент-анализа применительно к коммуникациям состоит в том, чтобы выявлять наиболее общие тенденции, не замутненные, так сказать, спецификой какого-либо конкретного рынка или товарной категории. Например, тендерные роли, типы используемых торговых предложений, преобладание коллективизма или индивидуализма в рекламных сообщениях, наличие межнациональных и кросскультурных особенностей и т.д. Исследования такого типа характерны не только для научных институтов и академических кругов, но и для серьезных рекламных агентств. Понятно, что нас больше интересует второй случай: практическое использование метода. Чем контент-анализ может быть полезен?
Для ответа на этот вопрос сделаем несколько шагов назад и еще раз укажем, что решения о планировании той или иной рекламной кампании не принимаются в вакууме. Умный всегда учится на ошибках других, поэтому выбор тех или иных задач, методов и инструментов будет более реалистичным при наличии информации о рекламных стратегиях и рекламных кампаниях конкурентов, их успехах и поражениях. Что не менее важно, такой анализ помогает отстроиться от конкурентной рекламы, найти свою, особую позицию в сознании потребителей. Что, в итоге, значительно повышает шансы на успех: в третий или четвертый раз говорить одно и то же одним и тем же людям просто глупо. Все упоминавшиеся концепции уникального торгового предложения, позиционирования и т.д., собственно, и придуманы были в основном для того, чтобы почетче выделить «наш» продукт или бренд на фоне «чужих».
Понятно, что мы не можем выявить эффективность коммуникаций, используя только контент-анализ, но достоинства этого метода становятся поистине неоценимыми, когда он используется в комбинации с другими видами исследований. Весьма отчетливыми становятся взаимосвязи между характеристиками рекламы и ее влиянием на целевую аудиторию, и гораздо объяснимее становятся те или иные результаты, будь то успех или провал кампании.
Для того чтобы получше объяснить, чем контент-анализ может помочь при выявлении эффектов рекламы, надо сначала разобраться, что это такое и как осуществляется процедура контент-анализа рекламы. Обозначим трех китов, на котором стоит этот метод исследования:
- системность;
- объективность и формализованность;
- измеримость.
Рассмотрим их чуть подробнее.
Системность. Степень достоверности результатов контент-анализа напрямую зависит от грамотного следования процедуре (правилам) — от построения выборки до формы представления результатов. Правила должны полностью охватывать весь процесс, быть явными, однозначно трактуемыми, соответствовать целям анализа.
Объективность. Выводы контент-анализа можно считать обоснованными только в том случае, если анализ проведен sine ira et studio1, т.е. исследователь должен максимально дистанцироваться от своих личных симпатий и антипатий вплоть до степени легкой шизофрении («я-потребитель не должен влиять на я-исследователя»).
1Без гнева и пристрастия (из Тацита).
Измеримость. Настоящий контент-анализ базируется на цифре. Оцифровка выбранного массива рекламных сообщений позволяет повысить точность суждений, более содержательно описать полученные результаты и взаимосвязи между отдельными элементами рекламы. Например, гораздо более определенным и точным является вывод: «90% всех проанализированных рекламных объявлений конкурентов содержат сдвоенное утверждение «меньше жира и холестерола», чем «большинство наших конкурентов в своей рекламе обращают внимание на преимущества здоровой пищи». Наконец, оцифровка позволяет использовать для дальнейшего анализа процедуры многомерного статистического анализа, что способствует большей глубине понимания собранных данных, позволяет убрать случайный информационный шум и выявить значимые связи между различными сторонами как отдельно взятых рекламных сообщений, так и совокупности рекламных кампаний в целом.
В связи с тем что сама процедура контент-анализа мало освещена в доступных источниках, остановимся на ней более подробно. На рис. мы привели общую последовательность метода.

Этап 1. Определение целей анализа, выдвижение гипотез, формирование списка вопросов
Как большинство исследований, контент-анализ начинается с выявления проблемы, формирования целей, выдвижения гипотез. Гипотезы могут генерироваться исходя из теоретических предпосылок, предыдущих исследований и/или опыта, изменений рыночных условий и перспектив. Нередко в качестве гипотез выдвигается связь между теми или иными переменными, например: «Предыдущие исследования показали, что рекламе для женщин характерна менее агрессивная, менее самоуверенная, более общественная и более поддерживающая модель межличностной коммуникации, чем для мужчин. Выдвигается гипотеза, что данная модель коммуникаций также может быть характерна в рекламе для деловых женщин, бизнесвумен». Или: «Реформы в России привели к резкому изменению роли взрослых как основных кормильцев в домохозяйствах. Большой интерес начинают вызывать доходы молодежи, зачастую зарабатывающей на порядок больше, чем их родители. Гипотеза для анализа: повлекли ли изменения в повышении социального статуса молодежи к изменению в направленности рекламных обращений на рынке электробытовой техники?»
В свою очередь, гипотезы разбиваются на ряд вопросов, конкретизирующих анализируемую ситуацию. Например, мы выдвинули гипотезу, что реклама сигарет содержит различные сообщения в зависимости от противопоставления по признаку «наши — не наши». Соответственно, можно сформулировать уточняющие вопросы:
- являются ли темы сообщений различными для рекламы «наших» и «ненаших» сигарет?
- используются ли в рекламе различные типы персонажей или они сходны?
- являются ли сюжеты рекламных сообщений различными? и т.д.
В анализе конкурентной рекламы обычно задаются следующие вопросы:
- какие преимущества своего товара предлагают наши конкуренты в своих рекламных сообщениях?
- какие средства массовой коммуникации используют наши конкуренты и в каких пропорциях?
- какие УТП (уникальные торговые предложения) присутствуют в рекламе конкурентов?
- в каком тоне подается информация (агрессивно, дружелюбно, нейтрально etc)?
- зависят ли содержание и сюжеты рекламных сообщений от рекламного носителя?
Конечно же, список вопросов полностью определяется целями исследования и в каждом конкретном случае устанавливается исследователем.
Этап 2. Определение генеральной совокупности
Генеральная совокупность материалов, подлежащих анализу, определяется исходя из целей и задач и сформулированных гипотез. Правильное определение генсовокупности позволяет избежать неопределенности, двусмысленности и четко задает глоссарий исследования.
Допустим, мы определили генсовокупность следующим образом: «Контент-анализ рекламы конкурентов на нашем рынке». Такое определение генсовокупности является довольно обычным требованием рекламодателя, однако совершенно неудовлетворительным, так как не позволяет понять: что понимается под конкурентами? Все производители в данной продуктовой категории? Производители общенациональных или локальных брендов? Или только лидирующих марок, включая импортные? Или те производители, чей рекламный бюджет сопоставим с нашим? Что значит «реклама» в данном случае? Подразумевается реклама во всех СМИ? Или только телевизионная реклама? Или только печатная? Надо ли учитывать в анализе прямую рассылку и другие средства продвижения продукта? Каков период анализа? Последние две недели? Два года? С 1 июня по 31 августа?
Короче, запрос таков, что встречные уточнения по нему могут занять на порядок больше времени, чем его изначальная постановка и, возможно, решение. Поэтому не лучше ли сразу конкретизировать, что нужно? Намного профессиональнее будет выглядеть следующая формулировка: «Предметом контент-анализа является реклама зубной пасты марок Аквафреш, Колгейт, Блендамед, Новый жемчуг. Исследуются рекламные объявления, размещенные на каналах ОРТ, РТР, НТВ и общенациональных газетах в период с 1 января по 28 февраля 2004 года». Возможно, она тоже не отражает все особенности определения генсовокупности, но с ней, по крайней мере, можно работать. ;
Этап 3. Выборочный план исследования
Выборочный план определяет, каким образом будет происходить отбор рекламных объявлений из всей генеральной совокупности. Очень редко, но встречаются и такие случаи, когда исследуется вся генсовокупность (census). Такое возможно в том случае, если выделенная для анализа совокупность материалов имеет конечные обозримые пределы, например, реклама всех автомобилей в журнале COSMOPOLITAN за 2002 г. ;
Есть три причины, по которым иногда приходится исследовать всю ген-совокупность. Во-первых, зачастую количество конкурирующей рекламы ограничено сравнительно небольшим количеством рекламных объявлений. Во-вторых, требования к достоверности результатов контент-анализа, используемых для принятия бизнес-решений, порой довольно высоки. Если создавать выборку на основе небольшой по объему генеральной совокупности, увеличиваются шансы, что на результаты будут влиять случайные «выбросы» или нерепрезентативные варианты рекламных объявлений. В-третьих, в странах с развитым рынком маркетинговых исследований доступны отчеты специализированных компаний, сделанные на основе практически всей генеральной совокупности, например, в США — Radio-TV Reports. Доступность таких данных значительно сокращает время поиска и сбора информации, позволяя исследователю сосредоточиться на анализе данных.
В случае если контент-анализ проводится для выявления тенденций рекламной практики, генеральная совокупность должна включать в себя очень широкий круг рекламных объявлений во всех СМИ и за достаточно продолжительные промежутки времени. В этом случае практически невозможно анализировать всю рекламу, и построение выборки является вполне логичным шагом. Мы не будем рассматривать здесь принципы и методику построения выборки, так как на эту тему существует достаточно обширная литература. Отметим лишь два общих принципа:
- выборка должна репрезентировать нашу генеральную совокупность, для того чтобы результаты анализа можно было распространить на всю совокупность рекламных сообщений;
- она должна быть достаточно большой для того, чтобы уменьшить ошибку измерений.
Пример построения выборки для контент-анализа
С помощью компьютерной программы отбираются объявления таким образом, что в каждый из дней исследуемого периода получаются четыре комбинации из 7 телевизионных каналов и пяти отрезков времени. Каналы: ОРТ, РТР, НТВ, ТВЦ, СТС, Рен-ТВ и кабельный канал. Каналы были отобраны по рейтингу просмотра каналов в Москве. Отрезки времени 7:00-11:00,11:00-16:00,16:00-19:00,19:00-22:00,22:00-24:00. Период — сентябрь 2002 г. Рассматриваются все объявления, попавшие в выбранные комбинации, в том числе дублированные.
Приведенный пример достаточно прост. Нередко выборки строятся на основе многоступенчатой процедуры с различными алгоритмами отбора на каждом шаге.
Этап 4. Определение способа обработки дублированных рекламных сообщений
Часто рекламные объявления появляются в СМИ неоднократно за исследуемый период времени. Даже в течение одной телевизионной программы и даже в одном рекламном блоке может выйти несколько одинаковых рекламных роликов. Понятно, что это ведет к их дублированию в выборке. Решение о дальнейшей обработке таких сообщений (считать каждое из них отдельным или исключать дубликаты), зависит от задач, стоящих перед исследователем. В ряде случаев наличие дубликатов игнорируется и обрабатываются все данные, т.е. каждый дубль считается самостоятельным отдельным объявлением. Данный подход справедлив в том случае, когда предметом анализа являются аспекты влияния всего массива объявлений. Например, необходимо выявить использование сексуальных мотивов в мужских иллюстрированных журналах, тогда дублированные объявления важны с точки зрения их веса и зрительской экспозиции. Однако, если фокус исследования сосредоточен на рекламе конкретного конкурента или стратегии продвижения, дублированные сообщения должны быть проигнорированы, так как нас интересуют содержательные элементы рекламных сообщений, а не частота их появления.
Этап 5. Создание системы категорий
Создание системы категорий состоит из двух этапов: 5.а) идентификация интересующих нас категорий и 5.6) создание для них списка характерных измерений.
5а. Идентификация категорий
На данном этапе необходимо идентифицировать все содержательно значимые категории. Набор категорий должен быть всеобъемлющим, т.е. охватывать все особенности рассматриваемых объявлений. Категории должны иметь четкие названия, непосредственно связанные с предметом исследования и выдвинутыми гипотезами. Б. Берельсон обращает особое внимание на прямую связь между конечным успехом контент-анализа и ясной формулировкой и адаптированностью категорий к исследуемым проблеме и содержанию объявлений1. Ф. Керлингер2 и К. Криппендорф3 также отмечают особое влияние дефиниции системы категорий на конечный результат.
1Подробнее см.: Berelson В. Content Analysis in Communication Research. NY: Hafner, 1952
2Подробнее см.: Kerlinger F. Foundations of Behavioral Research. NY: Holt, Rinehart & Winston, 1973.
3Подробнее см.: Krippendorf К. Content Analysis: An Introduction to its Metodology. Beverly Hills, CA, Sage Publishers. 1980.
Приведем примеры набора категорий для изучения:
1) конкурентной рекламы
2) рекламной кампании женщин-политиков (табл. 1) ;
Таблица 1. Сравнение двух категорий
| Конкурентная реклама | Политическая реклама |
| Формат объявлений | Формат объявлений |
| Структура объявлений | Стиль изложения |
| Основная выгода продукта | Длина выступления |
| Дополнительные выгоды продукта | Декорации |
| Тип торгового предложения | Тип оратора |
| Тон изложения | Тип голоса за кадром |
| Музыкальное сопровождение | Фасон одежды |
| Тип идентификации торговой марки | Упомянутые политические темы |
| Демонстрация продукта | Доминирующая тема |
| Окружение продукта | |
| Использование сравнительной рекламы |
5б. Создание размерностей категорий
На данном этапе каждая категория развертывается во множество размерностей, ее определяющих. Кроме того, неизбежно устанавливаются правила, по которым будет происходить измерение категории после определения ее размерностей. Размерности категорий могут браться из самых разных источников: из маркетинговой теории, из предыдущих исследований, из личного опыта исследователя в данной продуктовой группе и т.д. В любом случае, независимо от происхождения, размерности должны задавать последовательно непротиворечивую систему измерения. Вполне очевидно, что они могут быть различных типов. Главное, чтобы они адекватно описывали наличие или отсутствие того или иного признака, количество признака или его типологию, например см. табл. 2.
Таблица 2. Пример задания размерности категорий
| Представление продукта | Время показа продукта в секундах |
| Использование женских сексапtopильных образов | • да • нет |
| Формат рекламы | •
только диктор • стилевая • бытовая сценка • рекомендательная • одобряемая знаменитостью |
| Степень эмоциональности — рациональности | •
только рациональные мотивы • скорее рациональные мотивы • и рациональные, и эмоциональные мотивы • скорее эмоциональные мотивы • только эмоциональные мотивы |
Как видно из приведенного выше перечня, категории и их размерности можно трактовать как типы вопросов и ответов в анкетах или типы переменных (категориальные, порядковые, интервальные) в статистическом анализе. Поэтому не будем подробно рассматривать категории, остановимся лишь на вопросе о количестве размерностей в категориях. Здесь нет однозначного ответа. С одной стороны, количество размерностей должно быть достаточным для определения значимых различий внутри категории. Допустим, вы хотите проанализировать рекламу некоторого продовольственного товара в категории «Здоровая пища». Тогда такие размерности категории, как «Отсутствие жира», «Отсутствие холестерина»1, «Полезно для здоровья», не позволят вам в полной мере охватить такое понятие, как «Здоровая пища». С другой стороны, чрезмерное дробление категории, например, «Наличие витамина А», «Наличие витамина В4», «Наличие витамина С» и т.д. — явно не улучшит понимания данной категории и скорее приведет лишь к трудностям при кодировке. Поэтому при создании единой системы категорий и размерностей приходится руководствоваться тремя банальными вещами, о которых не вправе забывать ни один исследователь: элементарным здравым смыслом, имеющимся опытом и обязательным пилотажем.
1Здесь авторы допустили умышленную фактическую ошибку. В целях, так сказать, наглядной демонстрации того, что, приступая к контент-анализу, неплохо бы самому «быть в контенте». Например, вопреки широко распространенному заблуждению, холестерин бывает как вредный, так и полезный: так называемый холестерин высокой плотности и холестерин низкой плотности. Поэтому, формулируя категории и задавая им размерности, всегда полезно для начала осуществить своего рода погружение (immersion) в изучаемую проблематику.
В завершение темы укажем, что многие специалисты рекомендуют при наличии сомнений на всякий случай трактовать их в сторону большего числа размерностей. Их можно понять: объединить размерности в более крупную группу после кодировки можно, а вот разделить на более мелкие — уже нет.
Этап 6. Подготовка кодовых книг и кодовых страниц
По сути, кодовая книга — это словарь проводимого вами контент-анализа. Она должна содержать определения всех терминов, которые используются в анализе. Создание кодовых книг необходимо для того, чтобы все кодировщики понимали анализируемые сообщения максимально одинаково. Принципы создания кодировочных листов аналогичны принципам создания вопросников, только записываются в них не ответы респондентов, а результаты анализа кодировщиками рассматриваемых рекламных объявлений (табл. 3).
Таб. Пример кодовой книги1
1 Взято из: Stewart D. Furse D. Effective Television Advertising. Lexington, MA:Lexington Books, 1986.
| Категория: Структура объявления в 3040-секундном телевизионном ролике. Использование неожиданных и непредсказуемых элементов в рекламе. Пять размерностей. | |
| Неожиданность в начале | Использование элементов, привлекающих внимание (непонятность, сюрприз, напряженное состояние, неявные вопросы) в первые 10 сек. рекламы |
| Неожиданность в середине | То же, но в середине рекламы (10—20 сек) |
| Неожиданность в конце | То же, но в конце рекламы (последние 10 сек) |
| Неожиданное окружение, применение | Показ продукта в неожиданном интерьере, ракурсе, применении |
| Использование юмора | Использование шуток, каламбуров, гэгов, фарса или других элементов юмора |
| Категория: Основные и дополнительные рекламируемые выгоды продукта. Основной выгоде в рекламе уделяется максимум внимания. Дополнительные выгоды упоминаются только в качестве добавленных к основной выгоде. | |
| Цена | Продукт имеет низкую или наименьшую цену в данной категории |
| Соотношение цена/качество | Наилучшее соотношение цена/качество |
| Чистящие способности | Удаляет как жир, так и пятна от вина, соков и т.п. |
| Концентрация | Результаты достигаются при меньшем расходе продукта |
Таблица 4. Пример кодировочного листа
| Реклама
№ __________ |
| 30-сек.
телевизионный ролик Инструкции: Отмотайте пленку на начало. Обнулите секундомер. Просмотрите весь ролик. Отметьте время появления всех наблюдаемых элементов структуры рекламы. Если таких элементов в рекламе нет, отметьте код «Нет таких элементов в рекламе». ___ Неожиданность
в начале |
| Основная
рекламируемая выгода Инструкции: Просмотрите все объявление. Отметьте галочкой только одну рекламируемую выгоду, на которой сосредоточено основное время рекламы. Цена |
Дополнительные выгоды. Инструкции: Просмотрите все объявление. Отметьте галочкой каждую рекламируемую выгоду, упомянутую в рекламе, кроме основной рекламной выгоды (см. предыдущую категорию). Цена |
Этап 7. Отбор и обучение кодировщиков
Из всего вышеизложенного следует, что к отбору и обучению кодировщиков надо подходить со всей тщательностью. Во-первых, кодировщиков должно быть не менее двух. Во-вторых, это должны быть люди с примерно одинаковым опытом и навыками кодировки. В-третьих, важным условием является независимость этих кодировщиков друг от друга и от исследователя, подготавливающего кодовый план. К. Криппендорф особенно отмечал это условие, настаивая, что не может быть ничего хуже, когда кодировкой занимается сам исследователь или же при помощи своих коллег, также участвующих в данном исследовании.
Процесс обучения состоит из ряда этапов. Вначале кодировщики внимательно знакомятся с категориями, их определениями и размерностями категорий, которые представлены в кодовой книге. Это часто игнорируемый, но очень важный этап. Ниже у нас будет возможность проиллюстрировать насущность погружения в исследуемую категорию. После инструктажа кодировщики переходят к практическим занятиям, на которых 1) им показывают образцы объявлений, отобранных для кодировки; 2) которые они кодируют в соответствии с полученными инструкциями; 3) по результатам практической работы проводится обсуждение возникших проблем, оценивается качество кодировки и, при необходимости, проводится дополнительный тренинг.
Этап 8. Пилотаж и коррекция плана исследования
Любой план может быть усовершенствован или скорректирован. Не является исключением и контент-анализ, в котором обязательной стадией является пилотаж кодового плана. Предметом пилотажа является усовершенствование категорий, размерностей, кодировочных листов и инструкций кодировщикам. Обычно пилотаж проводится после обучения кодировщиков на одном и том же наборе объявлений.
Рассмотрим гипотетическую ситуацию. Три кодировщика проанализировали 10 рекламных объявлений и отнесли их к той или иной размерности некой категории (табл. 5)
Таблица 5. Пример кодировочного листа
| Кодировщик | Размерность | Разм.-сть 2 | Разм.-сть 3 | Разм.-сть 4 |
| 1 | 2,3,6 | 1,4,8 | 5,7,10 | 9 |
| 2 | 1,4,8 | 79 | 5,10 | |
| 3 | 2,3,6 | 1,4,8 | 10 | 5,7,9 |
Как видно, размерности 1 и 2 хорошо определены: у кодировщиков не возникло разногласий по по поводу того, какие объявления отнести к этим размерностям. Однако для размерностей 3 и 4 мнения кодировщиков не совпали, причем весьма кардинально. Следовательно, дефиниции размерностей 3 и 4 должны быть пересмотрены до начала основного анализа.
Вторая задача, которую решает пилотаж, — это оценка степени готовности самих кодировщиков. При затруднении кодировки той или иной категории возможен дополнительный тренинг отдельных кодировщиков. При систематическом несовпадении мнения одного из кодировщиков с остальными он может быть полностью исключен из процесса кодировки.
Этап 9. Кодирование собранного материала и оценка валидности данных
Обучив персонал и отладив кодовый план, можно проводить кодировку основной выборки рекламных объявлений. После того как этот процесс завершен, необходимо оценить надежность кодировки. Под надежностью (достоверностью) в контент-анализе понимается высокая вероятность того, что два и более кодировщика, работая независимо друг от друга, присвоили одни и те же коды одним и тем же элементам в каждом из проанализированных рекламных объявлений. Данный тип надежности, называемый межкодировочной надежностью, может вычисляться по разным методам, но должен быть обязательно проверен до анализа полученных данных. Низкий уровень вычисленной надежности свидетельствует о том, что полученным данным доверять нельзя.
Холсти1 для вычисления межкодировочной надежности для номинальных категорий рекомендует крайне простую формулу:

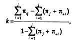
Как видно, метод понятный, простой в вычислениях, однако имеющий тенденцию завышать надежность кодировки, так как не учитывает, что коды могут совпасть и случайно. Допустим, у нас категория имеет две размерности (да — нет). Нетрудно видеть, что, закодировав выборку два раза (имитируя работу двух кодировщиков) с помощью генератора случайных чисел, мы получим надежность, равную примерно 50%. Для решения этой проблемы существуют и другие, более сложные формулы. Однако и они не универсальны, поскольку чувствительны к другим аспектам кодировки. Например, в π-индексе2 надежность вычисляется с коррекцией на случайные совпадения:
1Подробнее см.: Holsti О. Content Analysis for the Social Sciences and Humanities. Reading, MA: Addison-Wesley Publishing Co., 1969.
2Подробнее см.: Scott W. Reliability of Content Analysis: The Case of Nominal Scale Coding. Public Opinion Quarterly, № 61,1955. P. 483-492.

где R — показатель надежности (Reliability), M — общее количество совпавших кодовых элементов у двух кодировщиков, Nl N2 — общее количество закодированных элементов у 1-го и 2-го кодировщика соответственно. Например, если в 80 случаях из 100 мнения кодировщиков совпали, то надежность по Холсти составляет:

где π — оценка надежности, К0 — процент наблюдаемых совпадений кодировщиков, Ке — процент ожидаемых совпадений. Недостаток данного индекса состоит в его чувствительности к виду распределения закодированных элементов. Хотя методика его подсчета крайне проста: на первом этапе вычисляется процент ожидаемых совпадений, далее по формуле Холсти вычисляется процент наблюдаемых совпадений. Подставляя эти величины в формулу, мы и получим π-индекс. Например, в нашем гипотетическом примере с чистящими средствами основные рекламируемые выгоды распределились следующим образом (%):
- цена — 30,
- соотношение цена/качество — 25,
- чистящие способности — 15,
- концентрация —10,
- другое —10,
- не обнаружено — 10.
Тогда процент ожидаемых совпадений равен 0,205 (0,302 + 0,252 + 0,152 + 0,1002 + 0,102 + 0,102 = 0,205), а процент наблюдаемых совпадений возьмем из предыдущего примера — 80%. Тогда:

Перро и Лей[1] разработали другой подход к коррекции межкодировочной надежности. Эта формула также не свободна от недостатков, в частности, она зависит от количества размерностей в категории. В каноническом виде она выглядит следующим образом:

где F0 — количество совпавших кодовых элементов, N — общее количество кодовых элементов, k — количество размерностей в категории. Например, взяв предыдущие данные, мы получим F0 = 80, N = 100, k = 6. Оценка надежности по Перро-Лею составит:

1Подробнее см.: Perreauit W.D., Leigh L.E. Reliability of Nominal Data Based on Qualitative Judgments//Journal of Marketing Research. 1989. 26. P. 135—148.
Но, пожалуй, одной из наиболее часто применяемых мер согласия является «каппа Коэна» (Cohen's kappa)2, вычисляемая по формуле:

где πjj — вероятность того, что кодировщик 1 закодирует объект размерностью і, а кодировщик 2 закодирует этот же объект размерностью j. Или, другими словами, это разность между долями согласных и несогласных ответов, деленная на разность между 1 и долей несогласных ответов:

Понятно, что каппа (() может изменяться от 1 (полное согласие двух кодировщиков в оценке объектов) до -1 (полное несогласие). Особый случай, когда каппа равна 0. Это означает, что с таким же успехом можно было бы попросить оценить объекты два генератора случайных чисел.
2Подробнее см.: Cohen J. A coefficient of agreement for nominal scales. Educational and Psychological Measurement. 1960. 20. 37—46.
Все вышеприведенные формулы предназначены для номинальных категорий, и все в той или иной мере используются в контент-анализе. Но, независимо от используемой формулы, приемлемым считается уровень надежности не менее 80%.
Для оценки надежности порядковых и интервальных категорий используются обычные корреляции и ранговые корреляции. Однако здесь существует опасность ошибки при оценке надежности, связанная с тем, что корреляционные коэффициенты указывают направление связи, ничего не говоря о самих значениях. Предположим, мы оцениваем по 5-балльной шкале уровень эмоциональных мотиваций в рекламе, где 1 — «полное отсутствие эмоциональных мотиваций», а 5 — «наличие только эмоциональных мотиваций» (табл. 6):
Таблица 6. Пример таблицы сопоставления оценок различных кодировщиков
| № ролика | Оценка кодировщика 1 | Оценка кодировщика 2 |
| 1 | 1 | 3 |
| 2 | 2 | 4 |
| 3 | 3 | 5 |
Считаем коэффициент ранговой корреляции. Получаем +1.0, надежность стопроцентная, хотя даже на глаз видно, что кодировщик 1 гораздо ниже оценивает наличие эмоциональных мотивов в рекламе.
Анализ и интерпретация данных контент-анализа
Анализ данных, полученных после кодировки рекламных объявлений, следует логике обычных методов количественных исследований — рассчитываются проценты, средние, медианы, моды, строятся кросс-таблицы, значимые различия и т.п. Поэтому мы не будем подробно останавливаться на данном этапе. Желающие могут более подробно ознакомиться с методами анализа по соответствующей литературе1.
Использование результатов
Целью контент-анализа является помощь в лучшем понимании рекламной практики в целом, особенностей конкретных рекламных стратегий, изучении конкурентной рекламной среды.
Что касается связей между элементами рекламы и эффективностью рекламы, то, оставаясь в рамках только контент-анализа, исследовать эти связи невозможно. Однако сочетание контент-анализа рекламных объявлений и одновременное изучение потребительского поведения (знания, отношения, отклика) позволяет выявлять эти связи не на уровне рассуждений о здравом смысле или интуиции (как говорил один персонаж Геннадия Хазанова: «Спинным мозгом чувствую — блондинка»),а с помощью строгих математических процедур.
Рассмотрим пример подобного исследования Института изучения читательской аудитории2. Этот институт был основан в 1999 г. — по инициативе Американской газетной ассоциации (Newspapers' Association of America). Основной его задачей является наиболее полное и глубокое изучение читательской аудитории. Главный проект института — волновое исследование Impact, основанное на изучении выборки из 100 ежедневных и воскресных газет, а также опросах респондентов на суммарной годовой выборке 37000 человек. В опросах изучаются медиапредпочтения респондентов (и газет, в частности), их реакции на прочитанное, потребительское поведение. В контент-анализе были исследованы 74000 статей, охватывающие все типы новостей, а также некоторые виды рекламы. Такой двусторонний подход позволяет выявить связи между содержимым газет и реакцией читателей, их удовлетворенностью материалами и способами их подачи. Кроме того, предметом изучения являются коллективы редакций и журналисты.
1Подробнее см: Малхотра Н. Маркетинговые исследования. Практическое руководство. М.: ИД "Вильяме", 2002. Черчилль Г.А. Маркетинговые исследования. СПб.: ПИТЕР, 2000.
2Readership Institute, Media Management Center division at Northwestern University. USA. readership.org.
Ключевыми вопросами исследования являются:
- что именно дает возможность газете выделиться из общей массы других газет, что привлекает в ней читателей?
- как то или иное конкретное содержание газеты влияет на читательское поведение?
- какое влияние на читательскую аудиторию имеет пишущий состав газеты, ее редакционная политика, культура и философия данного издания?
Широкому распространению контент-анализа препятствует большая доля ручного труда и, соответственно, растянутые сроки получения результатов. В динамичной ситуации развивающихся рынков, когда дорога каждая неделя, а подчас и каждый день, базовая процедура контент-анализа не пользуется популярностью. В принципе, возможно существенное сокращение времени анализа, если на стадиях выдвижения гипотез и формирования системы категорий отказаться от предварительного изучения рекламных сообщений и задать априорные гипотезы и такую же систему категорий. Однако такой подход грешит сильным влиянием личности исследователя (или заказчика), т.е. той самой субъективностью, от которой старается уйти сам метод контент-анализа. Одним из возможных выходов из такой ситуации является использование новых информационных технологий.
Оценивая в целом как теорию, так и примеры контент-анализа, мы хотели бы отметить, что данный метод в сочетании с другими приемами исследования рекламы может быть мощным инструментом анализа эффективности рекламы. Разумеется, если он в опытных руках. Главное достоинство контент-анализа в том, что он позволяет выявлять объективные связи между содержанием рекламы или какими-то ее характеристиками) и влиянием этой рекламы на потенциальных потребителей. Причем делается это все не примерно, «на глазок», а на вполне научных основаниях.
Библиография
- Адлер Ю.П., Маркова Е.В., Грановский Ю.В. Планирование эксперимента при поиске оптимальных условий. М.: Наука, 1976.
- Асатурян В.И. Теория планирования эксперимента. М.: Радио и связь, 1983.
- Красовский Г.И., Филаретов Г.Ф. Планирование эксперимента. Минск: БГУ, 1982.
- Малхотра Н. Маркетинговые исследования. Практическое руководство. М.: ИД «Вильяме», 2002.
- Черчилль Г.А. Маркетинговые исследования. СПб: ПИТЕР, 2000.
- Хартман К. и др. Планирование эксперимента в исследовании технологических поцессов. М.: Мир, 1977.
- Beretson В. Content Analysis in Communication Research. NY: Hafner, 1952.
- Block J. The Q-sort method in personality assessment and psychiatric research. Springfield, IL: Charles C.Thomas, 1961.
- Brown 5.R. Political subjectivity: Applications of Q Methodology in political science. New Heaven, CT: Yale University Press.
Кутлалиев А., Попов А. Эффективность рекламы. — М., 2005
См. также:
Контент-анализ: сущность, задачи, процедуры
Контент-анализ: описание метода
Проведение
контент-анализа
Политический
контент-анализ

